International Journal of Plant Research

p-ISSN: 2163-2596    e-ISSN: 2163-260X

2015;  5(4): 87-95

doi:10.5923/j.plant.20150504.03

Arabidopsis thaliana GCN2 is Involved in Responses to Osmotic and Heat Stresses

Brenna C. Terry, Xiaoyu Liu, Audrey M. Murphy, Karolina M. Pajerowska-Mukhtar

Department of Biology, University of Alabama at Birmingham, Birmingham, USA

Correspondence to: Karolina M. Pajerowska-Mukhtar, Department of Biology, University of Alabama at Birmingham, Birmingham, USA.

Email:

Copyright © 2015 Scientific & Academic Publishing. All Rights Reserved.

Abstract

Heat, drought, and excess soil solutes are common abiotic stresses placed upon terrestrial plants by their natural environments. While such conditions are unavoidable, plants have evolved mechanisms of maintaining cellular homeostasis in the event of abiotic stress. Key regulatory factors often play essential roles in coordinating plants responses to a variety of stresses. One of such global regulators in Arabidopsis thaliana is General Control Nonderepressible 2 (GCN2), a kinase that phosphorylates the alpha subunit of eukaryotic translation initiation factor 2 (eIF2α) in response to amino acid starvation, phytohormones, and various external stresses. GCN2 phosphorylation of eIF2α halts translation, allowing for alleviation of the Endoplasmic Reticulum stress, and this mechanism is evolutionarily conserved across eukaryotes. Our data supports a role for GCN2 in response to abiotic stresses in plants. We assayed gcn2 loss-of-function mutant plants for their responses to heat, drought, and osmotic stress stimulated by salt and alcohol, using gene expression, root growth, and biomass as parameters. We concluded that GCN2 acts as a negative regulator of plant responses to abiotic stresses but has a positive role in root growth under normal growth conditions. Exploring the GCN2 regulation of plant abiotic stress responses offers a possible point of intervention for agricultural and horticultural applications.

Keywords: Arabidopsis thaliana, GCN2, Abiotic stress, Salinity, Heat, Osmotic stress, Drought

Cite this paper: Brenna C. Terry, Xiaoyu Liu, Audrey M. Murphy, Karolina M. Pajerowska-Mukhtar, Arabidopsis thaliana GCN2 is Involved in Responses to Osmotic and Heat Stresses, International Journal of Plant Research, Vol. 5 No. 4, 2015, pp. 87-95. doi: 10.5923/j.plant.20150504.03.

1. Introduction

As sessile organisms, plants grow in an inconstant environment that cannot be escaped and frequently imposes constraints on growth and development. Among the adverse environmental factors commonly encountered by land plants are extreme temperatures and osmotic stress caused by high salinity conditions or periods of drought [1]. They have, however, evolved adaptive homeostatic cellular mechanisms to enable them to effectively cope with these stresses, and such mechanisms require the proper perception of specific stresses and signal transduction to function and promote survival. Some responses may be stress-specific, while others may protect the plant from multiple adversities. A number of perception and signal transduction pathways exist in plants. While recent genetic and biochemical studies provided a wealth of information about the contributions of various stress response pathways, detailed mechanistic underpinnings underlying the coordination of stress responses have yet to be identified [2].
In eukaryotic organisms, polypeptides are translated on ribosomes and then translocated to the endoplasmic reticulum (ER), where they undergo modification, assembly, and chaperone-assisted folding before being exported from the cell or bound to a cellular membrane. These post-translation modifications ensure proper function of the resulting proteins [3, 4]. When stresses, including those imposed on the plant by the environment, become excessive, the cells attempt to alleviate the adversity by translating high levels of polypeptides. These polypeptide chains must be exported to the ER to be folded, but an abundance of unfolded chains at times can exceed the capacity of the ER and result in ER stress, characterized by the accumulation of misfolded proteins within the ER lumen. ER stress can activate the unfolded protein response (UPR), a protective mechanism that can be effective in the restoration of ER function and cellular growth by upregulating genes necessary for proper folding, degradation of misfolded polypeptides, and activation of autophagy. While UPR is an effective mechanism to regain cellular homeostasis following exposure to mild or short-lasting stress, under severe or prolonged stress conditions the cell might instead initiate the programmed cell death sequence [5-7].
Translation of mRNA requires the presence of initiation factors, particularly the family of eukaryotic initiation factors (eIF), all of which vary among plant, animal, and yeast species. eIF2 is one initiation factor that has been conserved among many eukaryotes, but differs among species in its regulation [8]. In mammals and yeasts, alpha subunit of eIF2 (eIF2α) is phosphorylated in response to stress, which shuts down protein synthesis. This translational block is achieved by inhibiting the exchange of GDP for GTP via the interaction between eIF2α-GDP with the guanine nucleotide exchange factor eIF2B [9, 10]. A ternary complex comprising eIF2α, GTP, and tRNAimet is necessary for translation to occur, as it forms a part of the 43S pre-initiation complex that scans mRNA in the 5’ to 3’ direction in search of an initiation codon to begin elongation of the polypeptide chain. Phosphorylation of eIF2α prevents the formation of the ternary complex and therefore inhibits translation of the mRNA into the target protein [11]. One well-studied kinase of eIF2α is GCN2 (General Control Nonderepressible 2), which is involved in regulating translation during amino acid deprivation in eukaryotes. GCN2 is a transmembrane serine-threonine kinase that is activated by the binding of its C-terminus to uncharged transfer RNAs (tRNAs). This binding is triggered by starvation and amino acid deprivation and leads to a conformational change in the protein that activates its kinase activity [11-13]. Subsequent phosphorylation of eIF2α results in attenuation of mRNA translation and a reduction of unfolded polypeptides in the ER. The GCN2-eIF2α signaling can crosstalk with UPR pathway for the restoration of ER homeostasis and cellular adaptation mechanisms [14].
In the current study, we investigated the contribution of Arabidopsis thaliana GCN2 in responses against a range of abiotic stresses, including heat, drought and hyperosmolarity. Our results demonstrate that GCN2 acts as a negative regulator of growth in response to osmotic and drought stresses and is required for transcriptional induction of a stress-inducible transcription factor TBF1. Collectively, our data shed light on the roles of this universal regulator in plant responses to adverse environmental conditions.

2. Materials and Methods

2.1. Plant Material

Present study includes two genotypes of Arabidopsis thaliana (L.) Heynh., the wild-type accession Landsberg erecta (Ler) and gcn2 Genetrap insertion line GT8359 in Ler genetic background. The gcn2 line disrupts locus At3g59410 and was obtained from Cold Spring Harbor Laboratory, New York. For heat shock and drought experiments, seeds were sown on Super Fine Germination Mix soil and incubated at 4°C for 72h. The pots with seeds were then transferred to a controlled growth facility with a 12h light/12h dark photoperiod at 21°C with 100 μmol/m2/s light intensity and 40% relative humidity. Plants were allowed to grow over the next 10-12 days, then transplanted into a 72-well flat, where they continue growing until 5 weeks old. For salinity and mannitol experiments, 50-75 seeds per genotype were sterilized by soaking for 2 min in 70% ethanol, followed by 2 min in 100% ethanol and plated on full-strength strength Murashige and Skoog (MS) [15] until ready to receive treatment.

2.2. Heat Stress

Five-week-old plants were placed in an incubator at 37°C for a period of thirty minutes, with a control set of identical genotypes kept at room temperature. Four plants per genotype per treatment were included and two technical replicates were performed per genotype per biological replicate. Following heat shock, four leaves from each genotype (one leaf per plant) from each technical replication were collected, and RNA isolated from the samples was used for real-time polymerase chain reaction (qRT-PCR) to compare any differences in gene transcript levels between the wild-type and mutant genotypes following heat stress conditions for varying time periods.

2.3. RNA Extraction and q-PCR

Total RNA was extracted from each sample using TRIzol reagent (Invitrogen) and concentration were measured by BioPhotometer Plus (Eppendorf) as described previously [16]. DNA contamination was removed by DNase I (Ambion) treatment. The cDNA were generated by reverse transcription through the SuperScript III first-strand RT-PCR kit (Invitrogen). The relative abundance of transcript was determined using GoTaq qPCR Master Mix (Promega) in a RealPlex S MasterCycler (Eppendorf). The following primer sequences were used: BiP2-F 5’ GACGCCAACGGTATTC 3’, BiP2-R 5’TGTCTCCAGGGCATTC 3’; TBF1-F 5’ GTTGGTTCGCCTTCTG 3’; TBF1-R 5’ CCACACCCCAAACAAT 3’, GCN2-F 5’ CAACACTTTCCCGTTTGCAG 3’, GCN2-R 5’ GTTGACACTGCACCTGAGTAG 3’, UBQ5-F 5’ GTAAACGTAGGTGAGTCC 3’, UBQ5-R 5’ GACGCTTCATCTCGTCC 3’.

2.4. Drought Treatment

Two-week-old Ler and gcn2 seedlings were transplanted in 72-well flats in a randomized way and grown for another 10 days with adequate water supply. At this point, water was withdrawn from one flat to induce drought conditions for 13 days while water was provided normally to the control flat. Then, both flats were watered again for a three-day recovery period. Following the recovery, aerial parts of plants were harvested and fresh weights were determined for the control and drought flats. The flats were dried for one day in an oven, and another weight measurement was taken to compare the masses of each genotype between the control and drought conditions.

2.5. Mannitol Treatment

Sterilized Ler and gcn2 seeds were germinated and pre-grown on solid, full-strength MS media for one week in a growth room, then transplanted onto new solid MS plates containing increasing concentrations of the six-carbon sugar alcohol mannitol (Fisher Scientific): 0 mM, 100 mM, 150 mM, 200 mM, 250 mM, 300 mM, and 350 mM and grown vertically in a growth facility. Ler and gcn2 seedlings were planted side-by-side on each plate, with a total of 72 seedlings per genotype grown for each mannitol concentration. Beginning with one day following plating in mannitol, the root lengths were tracked each morning for four consecutive days, with the tips of each root marked for each genotype on the plate. ImageJ (http://imagej.nih.gov/ij/) was used to measure daily incremental root growth.

2.6. Salinity Stress

Sterilized Ler and gcn2 seeds were germinated and pre-grown on solid, full-strength MS media for four days in a growth room, then transplanted onto new solid MS plates containing increasing concentrations of the sodium chloride (Fisher Scientific): 0 mM, 100 mM, 125 mM, 150 mM, and 200 mM and grown vertically in a growth facility. Root lengths of each genotype were marked daily for four consecutive days, then measured and analyzed via the ImageJ software. Values were compared to those of roots grown in absence of salt to evaluate the extent of reduction in root elongation rates for each NaCl concentration.

3. Results

3.1. gcn2 Mutant is More Tolerant to Salinity Stress

GCN2-induced phosphorylation of eIF2α has been well documented to occur upon mechanical stress and several phytohormones or their precursors known to be involved in plant growth and development [17]. However, genetic evidence linking the GCN2 function in cellular physiology is still limited. We employed a traditional seedling root elongation assay on solid MS plates to measure temporal root growth of vertically grown Ler and gcn2 plants. We noted that the gcn2 mutants display a moderate, but statistically significant reduction in root length compared to Ler, when grown under non-stress conditions (Fig. 1). This observation prompted us to investigate the relative reduction in the speed of root elongation in each genotype, rather than simply quantifying the absolute root lengths under diverse abiotic stress conditions.
Figure 1. Average Ler and gcn2 root length elongation under non-stress conditions. A comparison between the daily incremental root length elongation (cm) in each genotype was made for seedlings grown on solid MS plates for four days. Error bars represent standard error. Statistical analysis was performed with Student’s t-test comparing Ler to gcn2 values, *** p<0.001. Experiments were repeated in three independent biological replications with similar results
Osmotic stresses are known to activate yeast GCN2 [18]. To shed light on the involvement of GCN2 in responses to hyperosmolar conditions, we assayed root growth of Ler and gcn2 plants on media supplemented with increasing concentrations of salt, representing mild, moderate and severe salt stress. We transferred regular MS-grown, four-day-old Ler and gcn2 seedlings on plates supplemented with 0, 100 mM, 125 mM, 150 mM and 200 mM NaCl and tracked their root elongation in daily increments over a four-day period. We then compared the resulting values to those of roots grown under no salt stress. Starting on day 1 after transfer on NaCl-supplemented media, there was a noticeable difference in the rates of root elongation between the Ler and gcn2 seedlings (Fig. 2). While the salinity stress of 125 mM NaCl slowed down root elongation of Ler seedlings to 75% of that of the regular MS-grown roots, it caused a less dramatic effect on the gcn2 seedlings, which were still growing at the rate of 83.5% of the non-stressed grown plants. At day 2 post-exposure to salt stress, enhanced tolerance of the gcn2 plants became even more pronounced and was detected on all salt concentrations tested. This trend was maintained throughout the remainder of the experimental period assayed. The lowest tested concentration, 100 mM NaCl, only marginally affected the gcn2 seedlings, while it caused a clear reduction in the Ler root elongation (~78% by day 4). Growth on 200 mM NaCl, the highest concentration tested, severely retarded root elongation of both genotypes; however, the gcn2 plants still exhibited a trend of a heightened tolerance (Fig. 2). Overall, we concluded that loss of GCN2 function leads to a defect in the rates of seedling root elongation under regular growth conditions, but confers reduced sensitivity to salt stress.
Figure 2. Rates of root elongation in salt-stressed Ler and gcn2 seedlings. For each increasing NaCl concentration over a period of four days, the root length elongation as a percentage of the elongation under non-stress conditions is displayed for each genotype. Error bars represent standard error. Experiments were repeated in three independent biological replications with similar results

3.2. Loss of GCN2 Confers Increased Tolerance to Osmotic Stress

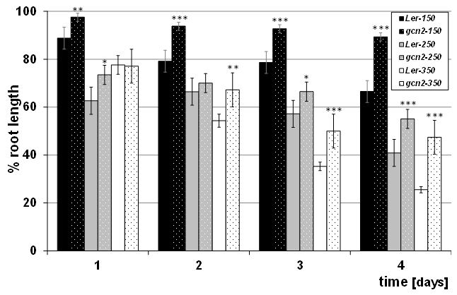
To corroborate our findings on the GCN2 involvement in osmotic stress responses, we next tested responses of the gcn2 plants to mannitol, a sugar alcohol that is well known as an osmotic stress-imposing agent. We grew Ler and gcn2 seedlings on regular MS media plates for one week, then transferred them on fresh MS plates supplemented with mannitol concentrations ranging from 0 mM to 350 mM. The growth of roots was assayed daily for four days. Similar to the salt stress experiment described above, the values were adjusted for the generally decreased elongational growth of the gcn2 roots under basal conditions. In agreement with our observations from the salinity stress, we observed that the gcn2 plants consistently outperformed Ler when grown under mannitol stress. After the first day of exposure, the lowest mannitol concentration tested, 150 mM, had no significant effects on the gcn2 plants, while causing a reduction of Ler root elongation down to 88% compared to regular MS-grown plants. This trend was maintained throughout the entire experimental period, culminating on day 4, when the Ler root elongation decreased to 66% while the gcn2 seedlings displayed a nearly-normal growth rate of 89%. As expected, higher mannitol concentrations imposed stronger osmotic stress and led to more profound root elongation defects. After a four-day-long exposure to 350 mM mannitol, the Ler roots were dramatically shorter and attained to only ~25% length of the non-stressed plants.
In contrast, even under these extreme osmotic stress conditions, the gcn2 seedlings continuously elongated their roots at 77, 67, 50 and 48% of the control plants on each day of the assayed period, respectively. This indicates high levels of tolerance against this form of abiotic stress in the gcn2 plants, further confirming our earlier observations.
Figure 3. Average Ler and gcn2 root length elongation under non-stress conditions. A comparison between the daily incremental root length elongation (cm) in each genotype was made for seedlings grown on solid MS plates for four days. Error bars represent standard error. Statistical analysis was performed with Student’s t-test comparing Ler to gcn2 values, *** p<0.001. Experiments were repeated in three independent biological replications with similar results

3.3. gcn2 Mutant Exhibits Decreased Sensitivity to Drought-triggered Dehydration and Improved Recovery Following Drought

To look deeper into the roles of GCN2 in environmental stress responses, we next chose to test their reaction to drought, which is another factor that can cause osmotic stress. Since both salt and water deficit make it difficult for plants to uptake water from soil, plants developed several common mechanisms to respond and deal with these stresses, with the phytohormone abscisic acid (ABA) being the central node of convergence between these two pathways [19]. We withdrew water from unstressed, soil-grown 24-day-old Ler and gcn2 plants and allowed the drought stress to build up over the next 13 days. Then, we watered the plants and allowed for a three-day rehydration and recovery period. At this point, we collected the entire aerial rosette parts of the plants and determined their fresh weight (Fig.4). Throughout the entire period of this assay, we also maintained a control, well-watered population of plants that was evaluated for fresh weight akin to their drought-stressed counterparts. These control plants did not display a significant difference in the rosette size (Fig. 4a). After the drought period was complete, plants of both genotypes displayed symptoms of dehydration, such as wilting and various degrees of chlorotic leaf discoloration; however, the extend of these symptoms was somewhat more profound in the Ler plants. Strikingly, the gcn2 mutant plants performed significantly better at the recovery from drought and weighted nearly 40% more than Ler (Fig. 4b). We also calculated a water loss ratio for each genotype by dividing its average fresh weight of control plants over the corresponding weight of drought-exposed individuals. A much lower ratio of 5.2 in the gcn2 plants indicated that this genotype can cope better with dehydration and has the ability to recover more promptly than Ler wild-type (ratio of 7.2) (Fig. 4c). Collectively, we conclude that the gcn2 mutant plants consistently display an enhanced tolerance to osmotic stresses of various origins.
Figure 4. Fresh weights and water loss ratios under drought stress. (A) fresh weight (in mg) of plants grown under non-drought conditions; (B) weights for plants following drought stress and a period of recovery; (C) comparison of water loss between Ler and gcn2 plants, which was calculated as a ratio of the mass of non-stressed to that of stressed plants. Error bars represent standard error. Statistical analysis was performed with Student’s t-test, *** p<0.001. Experiments were repeated in three independent biological replications with similar results

3.4. GCN2 is Required for full transcriptional induction of heat shock-like factor TBF1, but not BiP2, Following Heat Stress

Under natural conditions, drought stress is usually caused by a combination of insufficient irrigation and elevated ambient temperatures. For Arabidopsis, a temperate climate plant, heat stress is defined as exposure to temperatures that are 10-15°C above its thermal optimum of 23-25°C. Previous work determined that 30°C is considered a moderate heat stress for Arabidopsis, while 37°C represents extreme heat stress [20]. Given that moderate heat stress fails to induce expression of heat-responsive marker genes [20], we chose to expose the gcn2 plants to acute heat treatment. We subjected unstressed, five-week-old soil- grown Ler and gcn2 plants to incubation at 37°C for 30 minutes and subsequently evaluated the downstream transcriptional responses in heat-stressed plants compared to control individuals maintained at room temperature. We assayed expression levels of three well established stress marker genes: GCN2, TBF1 (also known as heat shock factor HsfB1) [16], and BiP2, a chaperone of the heat shock protein 70 (Hsp70) family. We observed that GCN2 itself is a heat-inducible gene: in Ler plants its expression nearly doubled following 30 minutes of heat shock (Fig. 5). As expected, the gcn2 mutant showed only residual levels of the GCN2 transcript, confirming that it is a null allele. Our subsequent analyses indicate that TBF1 is differentially expressed in the gcn2 plants. While its transcript levels are still heat-inducible, the overall transcript accumulation is significantly lower than that of Ler (Fig. 5). Finally, we tested the expression of BiP2, which was shown to be a direct transcriptional target of TBF1 under biotic stress but not under heat stress [16]. Intriguingly, we found BiP2 basal levels to be diminished in the gcn2 plants, but its inducibility was completely unaffected by the GCN2 loss-of-function mutation (Fig. 5). These data indicate that GCN2 might also be required in a feedback mechanism to control cellular homeostasis under diverse environmental stresses.
Figure 5. Transcript accumulation of GCN2, TBF1, and BiP2 at basal levels and following heat stress for 30 minutes. Error bars represent standard error. Statistical analysis was performed with Student’s t-test, *** p<0.001. Experiments were repeated in three independent biological replications with similar results

4. Discussion

4.1. GCN2 Acts as a Negative Regulator of Growth in Response to Osmotic and Drought Stresses

Drought and consequently osmotic stress has increasingly become a world-wide issue, representing one of the costliest of natural disasters [21] with a severely detrimental impact on plants, particularly with concern to crop yields. Drought leads to a disruption of osmotic homeostasis in plant cells, which rely heavily on water for basic metabolic processes including photosynthesis and nutrient transport throughout the organism. When plant cells are exposed to a solute-rich environment, water leaves the cell through its semi-permeable membrane in an attempt to create a balance of solute and solvent on each side of the membrane through basic osmosis. As plant cells require a high volume of water to perform basic metabolic functions, including photosynthesis, excessive water loss through such osmotic stress can inhibit growth and production [22]. Salinity is one major environmental stress that may limit plant productivity or lead to death. Soils may contain an excess of salts, most notably sodium and chloride ions. A high salt environment leads to reduction of the cellular water potential and disruption of ion homeostasis, resulting in both osmotic and ionic stress and therefore altering growth and productivity of the plant [23]. Cells of some plants, including Arabidopsis, may cope by compartmentalizing the excess ions away from the cytosol and to the vacuole via Na+/H+ antiporters, which are encoded by the AtNHX1 gene [24], while other species may secrete salt from salt glands or selectively exclude solutes [23]. Later research, however, revealed that repression of global protein translation is another primary mechanism involved in coping with saline stress [25]. This evidence was later confirmed by the finding that protein synthesis decreased significantly in Arabidopsis and rice cells exposed to 200 mM NaCl [26]. In addition, translation was also repressed in plants treated with 300 and 400 mM concentrations of sugar alcohol mannitol [26].
Previous studies have determined that solute-driven osmotic stress promotes Gcn2 activation in yeasts [17, 27], and GCN2 activation leading to eIF2α phosphorylation has been demonstrated in animal cells as well, including in the ability of mammalian renal medulla cells to cope with high urea levels [28]. In contrast to the study by Lageix et.al. [17] that failed to detect eIF2α phosphorylation following NaCl exposure, our genetic evidence clearly demonstrates that GCN2 is implicated in responses to salinity stress. Possible explanations for this seemingly contrasting observation include a different experimental set-up and the fact that our experiment followed the whole-plant phenotype over a period of four days, while Lageix and colleagues exposed the seedlings to salt treatment for four hours. Further supporting our results is the fact that Gcn2 activity has been previously cited in response to osmotic stresses including salinity in yeast [29]. In addition, our complementary test for osmotic tolerance, employing mannitol, unequivocally demonstrated that the gcn2 plants were more tolerant to hyperosmotic conditions as illustrated by a less dramatic reduction in root elongation. Similar to our results with salt stress, the amplitude of this response was directly correlated with mannitol concentration.
Our recent work suggested that GCN2 is involved in plant responses to the phytohormone gibberellic acid (GA), as exemplified by delays in seed germination, increased accumulation of chlorophyll, changes in leaf blade morphology and altered expression of GA marker genes [15, 30]. It has been previously shown that GA plays a central role in a number of plant responses to abiotic stresses [31]. Under salt stress, survival is enhanced by reduced GA response. In Arabidopsis seedlings, exposure to salinity was shown to trigger a reduction in endogenous bioactive GAs [32, 33], which coincided with inhibitory DELLA accumulation [32]. This indicates that salinity stress leads to attenuation of GA responses in wild-type plants. In addition, it was also demonstrated that GA treatment decreases survival in wild-type plants grown on NaCl, but a GA-deficient biosynthetic mutant ga1-3 exhibiting reduced GA signaling, displayed normal growth and survival patterns [32]. In another study, seedlings were exposed to a low concentration of mannitol, which resulted in a 50% reduction in final leaf size as a result of effects on both cell proliferation and cell expansion [34, 35]. Differential expression of GA metabolism genes, as well as accumulation of the GA repressors DELLA proteins and RGA, were observed in proliferating cells of mannitol-treated seedlings [35, 36]. GAs also play a role in plant responses to soil drying and drought [31, 37]. In a study investigating the effects of drought on the transcriptome of emmer wheat, it was reported that this treatment was associated with a decrease in a GA biosynthetic gene GA2ox expression in the roots [38]. This is consistent with the need to maintain root growth under water deficit, allowing a redistribution of growth between roots and shoot. It is plausible that the diminished GA responses in the gcn2 plants offer them an adaptive advantage to survive under water-limiting conditions. It is well established that reduced water availability, which is first perceived by the roots, results in closure of the leaf stomata and the resulting reduction in transpiration, at least in part through the action of the stress hormone ABA [39]. Our recent results show that the gcn2 mutants contain elevated levels of ABA and enhanced epidermal defenses against pathogen infection [40], indicating a possible crosstalk between GA and ABA that is mediated via GCN2 action under both biotic and abiotic stresses. Such crosstalk could be mediated by the RING-H2 zinc finger factor XERICO that regulates tolerance to drought and ABA biosynthesis in Arabidopsis [41]. XERICO is a transcriptional downstream target of DELLA proteins [42] and is transcriptionally induced in the gcn2 plants [15].

4.2. Expression of Heat-shock Factor TBF1, but not of BiP2, is Dependent on GCN2 in Response to Heat Stress

Plants, like many other organisms, can experience an adverse reaction to excessive heat exposure. Many biochemical processes in plants are heat-sensitive, and normal plant functions such as growth, reproduction, and photosynthesis can be disrupted by heat stress. Heat can also cause irreversible damage to cell structures, such as the plasma membrane, as well as cell death. Plants have evolved both short-term and long-term heat tolerance responses to minimize or prevent damage during heat stress, and understanding such mechanisms may play a role in the ability to protect plant species, especially as the temperature of the Earth’s atmosphere is predicted to rise in the next few decades [43].
Both transcriptional and translational alterations following stress, including initiation factor phosphorylation and translation reduction, have been cited as mechanisms for the plant response to heat [44, 45]. One mechanism of heat tolerance studied in Arabidopsis is the interaction of dehydration-responsive element binding protein 2A, or DREB2A, with a trimer comprising a DNA polymerase II subunit and two nuclear factors to activate a promoter of heat-stress inducible genes, enhancing expression of these genes [46]. DREB2A was also demonstrated to be regulated by osmotic stress and ABA (Kim et al. 2012), providing further evidence for a role of GCN2 in coordinated regulation of various abiotic stress responses. STZ/ZAT10 is a zinc-finger protein whose translation is induced by heat stress [45] as well as salinity and osmotic stress (Mittler et al. 2006), and eIF2α phosphorylation has been determined to regulate heat stress response in wheat embryos [44]. A correlation between heat tolerance and expression of a series of heat-shock proteins (HSPs) has been observed in higher plants [47]; Arabidopsis strains expressing low levels of HSP101 demonstrated a low capacity for heat tolerance [47], while exposure to a temperature of 40°C has been demonstrated to induce heat shock protein expression and an overall decrease in the synthesis of normal proteins in soybeans [48]. Roles of HSPs in heat response may include protein folding, assembly, degradation, stability, and translocation, as well as regulation of misfolded proteins following high stress [49]. In addition, wheat HSP101 paralogs were shown to be activated by drought and ABA application, implicating an existence of an intricate crosstalk between various abiotic stress response pathways (Campbell et al. 2001). Further research revealed that a suite of HSP families and over twenty heat-shock transcription factors (Hsfs), each interacting in a complex signaling network, are responsible for heat tolerance, as well as response to other abiotic stresses through signaling pathway overlap [16, 50].
TL1-binding transcription factor 1, or TBF1 (also known as HSFB1), is a heat-shock factor-like protein that binds to the TL1 cis-element of the promoters of ER-resident genes which assist post-translational modifications in response to stress. TBF1 translation appears to be regulated by upstream open reading frames (uORFs) located upstream from the 5’ end of the TBF1 start codon [16]. uORFs are often located upstream of key cellular growth and proliferation regulators, such as proto-oncogenes and receptors and proteins involved in immune responses [51], and play a regulatory role in translation, though they are capable of repressing and enhancing translation, depending on the reading frame sequences and genes downstream. In the instance of translation repression, ribosomes, following recognition of uORFs in an mRNA sequence, halt elongation of a polypeptide and therefore alter the expression of the gene through impedance of further translation [52]. uORF activity is sensitive to stress, including metabolic changes resulting from amino acid starvation, and is regulated by GCN2-mediated phosphorylation of eIF2α. For instance, pathogen infection leading to an increase in uncharged phenylalanine tRNA accumulation triggers eIF2α phosphorylation in Arabidopsis, which results in TBF1 translation through alleviation of uORF repression of its expression by allowing direct ribosomal attachment to the TBF1 start codon [16]. Luminal binding protein 2, or BiP2, is a molecular chaperone belonging to the HSP70 family and is located in the ER, where it is involved in nascent peptide folding, protein translocation, and quality control. The BiP2 promoter contains four TL1 elements that specifically bind TBF1 in vitro and in vivo, and its expression is compromised in tbf1 mutants upon salicylic acid application [16]. Given the existing connection between GCN2, the heat shock factor TBF1 and the heat shock chaperone BiP2, we tested their relationship at the transcriptional level. Our results indicate that GCN2 might indirectly control TBF1 transcript levels upon heat stress. In the gcn2 plants, translation of TBF1 is repressed and so is transcription of its direct transcriptional target genes. Given that the TBF1 promoter itself contains TL1 elements, it is plausible that upon heat stress, TBF1 transcription and translation are controlled by a GCN2-mediated positive feedback loop. In contrast, the unaltered levels of BiP2 expression in the gcn2 plants following heat shock indicate that plants use a TBF1-independent route for transcriptional induction of BiP2 under abiotic stress conditions, as indicated previously [16].

5. Conclusions

Collectively, our results reveal a role for GCN2 in abiotic stress responses in Arabidopsis. Drought and osmotic stresses are frequent factors that can impede plant growth in the terrestrial ecosystem, and loss of GCN2 function results in enhanced tolerance to these stresses. Although the lack of functional GCN2 protein seems to have positive influence on plant survival under many forms of abiotic stress, its central and indispensable role in regulating global translation ensures that this key protein has been preserved during the evolution of eukaryotes. For example, our data illustrate that GCN2 controls at least a part of essential heat shock responses and thus, must be maintained as a part of the stress-dependent translational regulatory machinery. In this regard, future directions may involve targeting the GCN2 gene in applied plant breeding, with a focus on agricultural and horticultural interventions to ensure the profitable and stable production of economically important plants with increased heat, drought, and solute osmotic stress tolerance.

ACKNOWLEDGEMENTS

The authors wish to acknowledge Dr. Shahid Mukhtar for critically reading the manuscript. This work was supported by NSF-CAREER award (IOS-1350244) to KPM.

References

[1]  Hasanuzzaman M., Nahar K., Fujita M. 2013, Plant Response to Salt Stress and Role of Exogenous Protectants to Mitigate Salt-Induced Damages. In: Ahmad P., Azooz M.M., Prasad M.N.V., editors. Ecophysiology and Responses of Plants under Salt Stress: Springer New York; p. 25-87.
[2]  Chinnusamy V., Schumaker K., Zhu J.K., 2004, Molecular genetic perspectives on cross‐talk and specificity in abiotic stress signalling in plants., Journal of Experimental Botany, 55:225-36.
[3]  Ron D., Walter P., 2007, Signal integration in the endoplasmic reticulum unfolded protein response., Nat Rev Mol Cell Biol, 8:519-29.
[4]  Wahyu Indra Duwi F., Lee S.Y., Lee K.O., 2013, The unfolded protein response in plants: A fundamental adaptive cellular response to internal and external stresses., Journal of Proteomics, 93:356-68.
[5]  Howell S.H., 2013, Endoplasmic Reticulum Stress Responses in Plants., Annual Review of Plant Biology, 64:477-99.
[6]  Ruberti C., Brandizzi F., 2014, Conserved and plant-unique strategies for overcoming endoplasmic reticulum stress., Frontiers in Plant Science, 5:69.
[7]  Hetz C., 2012, The unfolded protein response: controlling cell fate decisions under ER stress and beyond., Nat Rev Mol Cell Biol, 13:89-102.
[8]  Muñoz A., Castellano M.M., 2012, Regulation of Translation Initiation under Abiotic Stress Conditions in Plants: Is It a Conserved or Not so Conserved Process among Eukaryotes?, Comparative and Functional Genomics, 2012:8.
[9]  Zhang Y., Wang Y., Kanyuka K., Parry M.A.J., Powers S.J., Halford N.G., 2008, GCN2-dependent phosphorylation of eukaryotic translation initiation factor-2α in Arabidopsis., Journal of Experimental Botany, 59:3131-41.
[10]  Browning K.S., 2004, Plant translation initiation factors: it is not easy to be green., Biochemical Society transactions, 32:589-91.
[11]  Wek R.C., Jiang H.Y., Anthony T.G., 2006, Coping with stress: eIF2 kinases and translational control., Biochemical Society transactions, 34:7-11.
[12]  Faus I., Zabalza A., Santiago J., Nebauer S.G., Royuela M., Serrano R., et al., 2015, Protein kinase GCN2 mediates responses to glyphosate in Arabidopsis., BMC Plant Biol, 15:14.
[13]  Li M.W., AuYeung W.K., Lam H.M., 2013, The GCN2 homologue in Arabidopsis thaliana interacts with uncharged tRNA and uses Arabidopsis eIF2α molecules as direct substrates., Plant Biology, 15:13-8.
[14]  Hamanaka R.B., Bennett B.S., Cullinan S.B., Diehl J.A., 2005, PERK and GCN2 Contribute to eIF2α Phosphorylation and Cell Cycle Arrest after Activation of the Unfolded Protein Response Pathway., Molecular Biology of the Cell, 16:5493-501.
[15]  Liu X., Merchant A., Rockett K.S., McCormack M., Pajerowska-Mukhtar K.M., 2015, Characterization of Arabidopsis thaliana GCN2 kinase roles in seed germination and plant development., Plant Signaling & Behavior, 10:e992264.
[16]  Pajerowska-Mukhtar K.M., Wang W., Tada Y., Oka N., Tucker C.L., Fonseca J.P., et al., 2012, The HSF-like Transcription Factor TBF1 Is a Major Molecular Switch for Plant Growth-to-Defense Transition., Current Biology, 22:103-12.
[17]  Lageix S., Lanet E., Pouch-Pélissier M.-N., Espagnol M.-C., Robaglia C., Deragon J.-M., et al., 2008, Arabidopsis eIF2α kinase GCN2 is essential for growth in stress conditions and is activated by wounding., BMC Plant Biol, 8:1-9.
[18]  Hinnebusch A.G., 2005, Translational regulation of GCN4 and the general amino acid control of yeast., Annual review of microbiology, 59:407-50.
[19]  Jakab G., Ton J., Flors V., Zimmerli L., Métraux J.-P., Mauch-Mani B., 2005, Enhancing Arabidopsis Salt and Drought Stress Tolerance by Chemical Priming for Its Abscisic Acid Responses., Plant Physiology, 139:267-74.
[20]  Xiong L., Ishitani M., Zhu J.-K., 1999, Interaction of Osmotic Stress, Temperature, and Abscisic Acid in the Regulation of Gene Expression in Arabidopsis., Plant Physiology, 119:205-12.
[21]  Keyantash J., Dracup J.A., 2002, The Quantification of Drought: An Evaluation of Drought Indices., Bulletin of the American Meteorological Society, 83:1167-80.
[22]  Tholakalabavi A., Zwiazek J.J., Thorpe T.A., 1994, Effect of Mannitol and Glucose-Induced Osmotic Stress on Growth, Water Relations, and Solute Composition of Cell Suspension Cultures of Poplar (Populus deltoides var. occidentals) in Relation to Anthocyanin Accumulation., In Vitro Cellular & Developmental Biology Plant, 30P:164-70.
[23]  Parida A.K., Das A.B., 2005, Salt tolerance and salinity effects on plants: a review., Ecotoxicology and Environmental Safety, 60:324-49.
[24]  Apse M.P., Aharon G.S., Snedden W.A., Blumwald E., 1999, Salt Tolerance Conferred by Overexpression of a Vacuolar Na+/H+ Antiport in Arabidopsis., Science, 285:1256-8.
[25]  Kawaguchi R., Bailey-Serres J., 2002, Regulation of translational initiation in plants., Current Opinion in Plant Biology, 5:460-5.
[26]  Matsuura H., Kiyotaka U., Ishibashi Y., Kubo Y., Yamaguchi M., Hirata K., et al., 2010, A short period of mannitol stress but not LiCl stress led to global translational repression in plants., Bioscience, Biotechnology, and Biochemistry, 74:2110-2.
[27]  Mascarenhas C., Edwards-Ingram L.C., Zeef L., Shenton D., Ashe M.P., Grant C.M., 2008, Gcn4 Is Required for the Response to Peroxide Stress in the Yeast Saccharomyces cerevisiae., Molecular Biology of the Cell, 19:2995-3007.
[28]  Cai Q., Brooks H.L., 2011, Phosphorylation of eIF2α via the general control kinase, GCN2, modulates the ability of renal medullary cells to survive high urea stress., American Journal of Physiology - Renal Physiology, 301:F1202-F7.
[29]  Murguía J.R., Serrano R., 2012, New functions of protein kinase Gcn2 in yeast and mammals., IUBMB Life, 64:971-4.
[30]  Merchant A., Pajerowska-Mukhtar K., 2015, Arabidopsis thaliana Dynamic Phenotypic Plasticity in Response to Environmental Conditions., International Journal of Modern Botany, 23-8.
[31]  Colebrook E.H., Thomas S.G., Phillips A.L., Hedden P., 2014, The role of gibberellin signalling in plant responses to abiotic stress., The Journal of Experimental Biology, 217:67-75.
[32]  Achard P., Cheng H., De Grauwe L., Decat J., Schoutteten H., Moritz T., et al., 2006, Integration of plant responses to environmentally activated phytohormonal signals., Science, 311:91-4.
[33]  Magome H., Yamaguchi S., Hanada A., Kamiya Y., Oda K., 2004, dwarf and delayed-flowering 1, a novel Arabidopsis mutant deficient in gibberellin biosynthesis because of overexpression of a putative AP2 transcription factor., The Plant Journal, 37:720-9.
[34]  Skirycz A., De Bodt S., Obata T., De Clercq I., Claeys H., De Rycke R., et al., 2010, Developmental stage specificity and the role of mitochondrial metabolism in the response of Arabidopsis leaves to prolonged mild osmotic stress., Plant Physiology, 152:226-44.
[35]  Skirycz A., Claeys H., De Bodt S., Oikawa A., Shinoda S., Andriankaja M., et al., 2011, Pause-and-stop: the effects of osmotic stress on cell proliferation during early leaf development in Arabidopsis and a role for ethylene signaling in cell cycle arrest., Plant Cell, 23:1876-88.
[36]  Claeys H., Skirycz A., Maleux K., Inze D., 2012, DELLA signaling mediates stress-induced cell differentiation in Arabidopsis leaves through modulation of anaphase-promoting complex/cyclosome activity., Plant Physiology, 159:739-47.
[37]  Golldack D., Li C., Mohan H., Probst N., 2014, Tolerance to drought and salt stress in plants: Unraveling the signaling networks., Frontiers in Plant Science, 5:151.
[38]  Krugman T., Peleg Z., Quansah L., Chague V., Korol A.B., Nevo E., et al., 2011, Alteration in expression of hormone-related genes in wild emmer wheat roots associated with drought adaptation mechanisms., Functional & Integrative Genomics, 11:565-83.
[39]  Wilkinson S., Davies W.J., 2002, ABA-based chemical signalling: the co-ordination of responses to stress in plants., Plant, Cell & Environment, 25:195-210.
[40]  Liu X., Kørner C.J., Hajdu D., Guo T., Ramonell K., Argueso C, Pajerowska-Mukhtar K.M., 2015, Arabidopsis thaliana AtGCN2 Kinase is Involved in Disease Resistance Against Pathogens with Diverse Life Styles., International Journal of Phytopathology, in press.
[41]  Ko J.H., Yang S.H., Han K.H., 2006, Upregulation of an Arabidopsis RING-H2 gene, XERICO, confers drought tolerance through increased abscisic acid biosynthesis., The Plant Journal, 47:343-55.
[42]  Zentella R., Zhang Z.-L., Park M., Thomas S.G., Endo A., Murase K., et al., 2007, Global Analysis of DELLA Direct Targets in Early Gibberellin Signaling in Arabidopsis., The Plant Cell, 19:3037-57.
[43]  Hasanuzzaman M., Nahar K., Alam M.M., Roychowdhury R., Fujita M., 2013, Physiological, Biochemical, and Molecular Mechanisms of Heat Stress Tolerance in Plants., International Journal of Molecular Sciences, 14:9643-84.
[44]  Gallie D.R., Le H., Caldwell C., Tanguay R.L., Hoang N.X., Browning K.S., 1997, The Phosphorylation State of Translation Initiation Factors Is Regulated Developmentally and following Heat Shock in Wheat., Journal of Biological Chemistry, 272:1046-53.
[45]  Yángüez E., Castro-Sanz A.B., Fernández-Bautista N., Oliveros J.C., Castellano M.M., 2013, Analysis of Genome-Wide Changes in the Translatome of Arabidopsis Seedlings Subjected to Heat Stress., PLoS ONE, 8:e71425.
[46]  Sato H., Mizoi J., Tanaka H., Maruyama K., Qin F., Osakabe Y., et al., 2014, Arabidopsis DPB3-1, a DREB2A Interactor, Specifically Enhances Heat Stress-Induced Gene Expression by Forming a Heat Stress-Specific Transcriptional Complex with NF-Y Subunits., The Plant Cell, 26:4954-73.
[47]  Queitsch C., Hong S.W., Vierling E., Lindquist S., 2000, Heat shock protein 101 plays a crucial role in thermotolerance in Arabidopsis., Plant Cell, 12:479-92.
[48]  Key J.L., Lin C.Y., Chen Y.M., 1981, Heat shock proteins of higher plants., Proceedings of the National Academy of Sciences of the United States of America, 78:3526-30.
[49]  Wang W., Vinocur B., Shoseyov O., Altman A., 2003, Role of plant heat-shock proteins and molecular chaperones in the abiotic stress response., Trends in Plant Science, 9:244-52.
[50]  Swindell W.R., Huebner M., Weber A.P., 2007, Transcriptional profiling of Arabidopsis heat shock proteins and transcription factors reveals extensive overlap between heat and non-heat stress response pathways., BMC Genomics, 8:125.
[51]  Kozak M., 1991, An analysis of vertebrate mRNA sequences: intimations of translational control., The Journal of Cell Biology, 115:887-903.
[52]  Morris D.R., Geballe A.P., 2000, Upstream Open Reading Frames as Regulators of mRNA Translation., Molecular and Cellular Biology, 20:8635-42.