International Journal of Genetic Engineering

p-ISSN: 2167-7239    e-ISSN: 2167-7220

2026;  14(4): 117-128

doi:10.5923/j.ijge.20261404.04

Received: Mar. 30, 2026; Accepted: Apr. 19, 2026; Published: Apr. 27, 2026

 

Nutritional Value, Elemental Composition, and Toxicological Safety Assessment of Grasshopper Meal as a Protein Source in Poultry Feed

J. S. Komilov, M. Allamuratov, T. T. Adilbekov

National University of Uzbekistan named after Mirzo Ulugbek, Tashkent, Republic of Uzbekistan

Correspondence to: J. S. Komilov, National University of Uzbekistan named after Mirzo Ulugbek, Tashkent, Republic of Uzbekistan.

Email:

Copyright © 2026 The Author(s). Published by Scientific & Academic Publishing.

This work is licensed under the Creative Commons Attribution International License (CC BY).
http://creativecommons.org/licenses/by/4.0/

Abstract

The increasing global demand for sustainable and high-quality protein sources has accelerated the search for alternative feed ingredients in poultry production. Insects, particularly grasshoppers, represent a promising source of highly digestible protein, essential amino acids, minerals, and bioactive compounds. The present study aimed to evaluate the nutritional composition, mineral profile, and biological safety of grasshopper meal when incorporated into poultry feed formulations at different inclusion levels. Commercial chicken feed mixtures were supplemented with grasshopper meal at 15 percent and 25 percent concentrations, while non-supplemented standard feed served as the control. Proximate composition analysis revealed that grasshopper-enriched diets contained a higher crude protein percentage compared to the standard feed, with values ranging from 11.64 to 22.70 percent depending on the inclusion level. Fat, ash, calcium, and phosphorus contents also showed moderate improvement relative to the control diet. Elemental composition assessed through X-ray fluorescence spectroscopy (XRF) indicated the presence of essential macrominerals such as K, Ca, Mg, P, S, and Si, along with trace elements including Fe, Zn, Mn, Cu, Ni, Sr, and Ba. No toxic heavy metals exceeding permissible limits were detected, confirming the mineral safety of the formulated diets. A hematological evaluation was performed to assess potential physiological effects of the feed formulations on poultry health. Key blood parameters, including white and red blood cell counts, hemoglobin concentration, hematocrit values, and platelet levels remained within reference physiological ranges, indicating the absence of adverse effects on the immune and circulatory systems. Microbiological testing demonstrated compliance with food and feed safety standards, with no pathogenic bacterial contamination detected in the feed samples. Overall, the findings support the effectiveness and safety of grasshopper meal supplementation in poultry feed. Grasshopper-based formulations improved the nutritional value of the feed while maintaining biological safety and supporting normal health status in animals. These results highlight the potential of grasshopper meal as a sustainable, nutrient-rich protein ingredient for poultry production, contributing to circular bioeconomy strategies and food security. Further studies optimizing inclusion levels and long-term performance outcomes are recommended.

Keywords: Grasshopper meal, Poultry feed, Alternative protein source, Nutritional composition, Mineral profile, XRF analysis, Hematology, Feed safety, Sustainable livestock production, Insect-based nutrition

Cite this paper: J. S. Komilov, M. Allamuratov, T. T. Adilbekov, Nutritional Value, Elemental Composition, and Toxicological Safety Assessment of Grasshopper Meal as a Protein Source in Poultry Feed, International Journal of Genetic Engineering, Vol. 14 No. 4, 2026, pp. 117-128. doi: 10.5923/j.ijge.20261404.04.

1. Introduction

Poultry farming is among the most rapidly expanding livestock industries around the world, largely due to an increased demand for quality animal protein. Feed costs generally comprise up to 70 percent of total farm expenses, and protein sources including fishmeal and soybean meal continue to be key input costs of poultry feed. However, both fishmeal and soybean meal are under siege due to variability in market prices, limited land use, environmental concerns, and competition with human food chains [1]. Thus, it is imperative that practical, cost-effective protein in sources of good quality replaces these key protein inputs in modern poultry feeds. Insects have been recognized as a protein alternative that is substantial in protein content, reproductive in nature, has a generally low carbon footprint, and has the potential to feed on organic byproducts. Specifically, crickets (grasshoppers) consist of 40–70 percent crude protein, essential amino acids, vitamins and [2].
In addition, grasshoppers may have an acceptable digestibility and antioxidant activity, suggesting it may have health benefits to poultry. There is potential for grasshopper to be a feed alternative, especially in such regions as Uzbekistan, which has naturally available insect biomass, and could be used to further support its in-country feed production as an alternative protein source to continue reducing reliance on imported goods for ingredient protein sources [3]. While some investigations have examined insect-based feeds, we know very little about the compositional quality of grasshopper meal-supplemented poultry feeds produced locally and their safety. Before being delivered commercially, feeds must be microbiologically pure and be balanced in their macro- and micronutrient composition with no toxic elements. In addition, evaluating blood parameters in birds gives an indication of any physiological stress or negative effects related to new feed ingredients [4].
The goal of this study was to assess the proximate nutrient composition, mineral composition (using X-ray fluorescence spectrometry, XRF), and microbial safety of poultry feeds with varying levels of supplementation with either a whole grasshopper meal or with grasshopper meal that was treated with dry heat in a convenient manner. Hematological parameters were also assessed for effects on animal health [5]. This research aims to provide research-based information that supports the nutritional suitability and biological safety of insect-based feeds with a view toward a sustainable protein alternative in production in the future. These findings also contribute to more environmentally friendly feed solutions that can improve productivity while leveraging circular bioeconomy initiatives within Uzbekistan [6].

2. Materials and Methods

Feed samples and experimental design
Grasshopper meal was added to commercial poultry feed mixtures at varying inclusion rates to create the experimental samples. Seven total feed formulations were analyzed (which included both a standard commercial feed (control) and grasshopper enriched feed with either fifteen percent or twenty-five percent grasshopper meal). All samples were labeled with a code, and stored in the laboratory prior to the analysis [7].
Proximate composition analysis
Proximate nutritional components including moisture, crude protein, crude fat, crude fiber and total ash were determined using standard feed analysis procedures. Calcium and phosphorus contents were based on spectrophotometric and titrimetric analytical procedures, respectively. All chemical measurements were made in triplicate and mean values reported [8].
Mineral composition analysis
The elemental profile of each feed sample was analyzed by X-ray fluorescence (XRF) spectrometry (Sup NIR 2700, MT 100 BW). The concentrations of macroelements (K, Ca, P, Mg, S, Si, Na) and trace elements (Fe, Zn, Mn, Cu, Ni, Sr, Ba, Br, Y, Zr, etc.) were quantified using SQX calibration mode. Detection limits, signal intensities, and normalized abundance values were recorded to verify measurement accuracy and reliability [9].
Microbiological safety assessment
Feed samples were examined for the presence of pathogenic microorganisms including Salmonella spp., Escherichia coli, and Listeria monocytogenes. Analyses were carried out following standard sanitary regulations for poultry feed quality. Absence of pathogen growth indicated microbiological safety compliance [10].
Toxicological screening
Heavy metal residues (Pb, Cd, As, Hg) were evaluated to assess toxicological risks. All detected levels were compared with permissible safety limits recommended for feed products to ensure toxic element120 free status [11].
Hematological analysis in poultry
To evaluate physiological responses to the feed formulations, blood samples were collected from healthy chickens fed with the experimental diets. Hematological parameters including white blood cells (WBC), red blood cells (RBC), hemoglobin (HGB), hematocrit (HCT), and platelets (PLT) were determined using an automated hematology analyzer. All values were interpreted against established reference ranges for poultry health [12].
Statistical analysis
Data obtained from chemical, mineral, and hematological evaluations were expressed as mean ± standard deviation. Statistical variation between groups was examined using one-way ANOVA, and significance was accepted at p < 0.05. Graphical visualizations and comparative charts were generated in appropriate statistical software.

3. Results

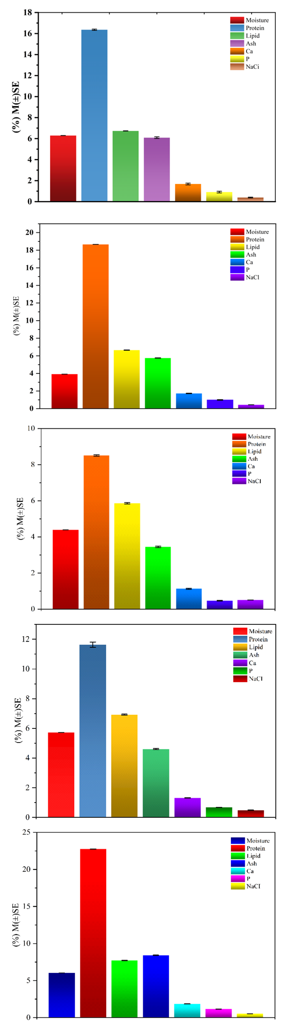
The proximate composition of poultry feeds supplemented with grasshopper meal exhibited notable differences compared with the commercial control diet. The results are summarized in Figure 1. Grasshopper meal inclusion significantly enhanced the protein content of the feeds in a dose-dependent manner. The control diet contained 8.51±0.04 percent protein, whereas the diets enriched with 15 percent and 25 percent grasshopper powder demonstrated 11.64±0.18 percent and 22.70±0.02 percent protein, respectively. Such a substantial improvement confirms the effectiveness of insect protein as a sustainable alternative to conventional feed ingredients.
Figure 1. Chemical Composition Profile of Meat Samples: Macro- and Micro-Nutrient Contributions (%)
Similarly, lipid content showed a gradual increase, rising from 5.86±0.04 percent in the control to 6.93±0.03 percent and 7.71±0.04 percent in the 15 percent and 25 percent inclusion groups. The enhanced energy density of these feeds may support overall metabolic efficiency and weight gain in poultry.
Ash content, reflecting the total mineral concentration, increased from 3.45±0.04 percent in the control to 4.61±0.04 percent and 8.42±0.37 percent in the grasshopper-based feeds. In parallel, key macro-minerals such as calcium and phosphorus demonstrated significant elevations. Calcium levels increased progressively from 1.13±0.03 percent to 1.32±0.01 percent and 1.86±0.01 percent, while phosphorus rose from 0.47±0.02 percent to 0.68±0.01 percent and 1.06±0.004 percent in the respective diets. These results suggest improved mineral availability and a strong potential to support bone development.
Moisture content remained within an acceptable range for feed storage stability (3.92–6.29 percent), indicating that grasshopper supplementation did not compromise product quality. Sodium chloride values showed minimal fluctuations and remained within recommended nutritional limits across all samples.
Statistical evaluation confirmed that protein, lipid, ash, calcium, and phosphorus contents were significantly higher in grasshopper-supplemented groups than in the control (p < 0.05), while moisture and NaCl did not differ significantly (p > 0.05). Overall, these findings demonstrate that the incorporation of grasshopper meal markedly improves the nutritional profile of poultry feed without negative effects on storage-related parameters.
Elemental Composition of the Ammophos Sample Determined by XRF
Table 1. Elemental composition of the analyzed sample determined by XRF-SQX analysis
     
XRF-SQX analysis revealed the presence of twenty-one inorganic elements in the sample labelled as ammofos. Phosphorus was the predominant component, reaching 58.8 percent, which indicates that the material is highly enriched in phosphate-based compounds. Sulfur and calcium were also detected at considerable levels, 12.0 percent and 8.87 percent respectively, suggesting a strong mineral composition relevant for potential nutritional or agricultural applications.
Medium-level minerals included aluminium, silicon, and sodium, ranging between 2.60 and 2.83 percent. Magnesium and chlorine were identified at lower concentrations of 1.58 percent and 1.21 percent, while potassium accounted for 1.69 percent of the composition. These elements are generally associated with essential biochemical and physiological functions.
Iron appeared as the most significant trace metal at 6.15 percent, followed by manganese at 0.618 percent. Additional microelements including nickel, copper, zinc, strontium, zirconium, vanadium, chromium, yttrium, and rubidium were present in very low concentrations below 0.10 percent. Despite their small quantities, these elements may still contribute to catalytic and metabolic processes in biological systems.
All detected values were above their respective detection limits, confirming the reliability of the measurements. High intensity responses for major minerals, particularly phosphorus and calcium, support the robustness of the analytical results.
Collectively, these findings demonstrate that the ammofos sample possesses a mineral profile dominated by macroelements such as phosphorus, sulfur, and calcium, accompanied by several essential trace elements. This composition suggests that the material may serve as a potentially valuable mineral additive in feed or soil enrichment formulations.
Table 2. Elemental composition of the 7-ch(b)15% sample determined by XRF-SQX analysis
     
This XRF-SQX dataset represents the elemental composition of the sample labeled 7-ch(b)15%. Magnesium was detected as the most dominant mineral with a concentration of 29.4 percent, indicating a strong enrichment of magnesium-based compounds. Phosphorus and silicon were also measured at high levels, 15.1 percent and 10.7 percent respectively, which reflects the presence of compounds essential for metabolic function and skeletal development when used as feed. Aluminium and sulfur were present at moderate quantities, 6.00 percent and 4.05 percent, contributing to additional inorganic makeup.
Potassium was detected at 26.6 percent, representing one of the key electrolytes required for physiological function and osmotic balance. Calcium was present at 6.13 percent, confirming its contribution to mineral density and possible involvement in bone-forming compounds. Chlorine showed a concentration of 1.52 percent, likely originating from salt-derived molecules.
Iron and manganese were found at lower levels, 0.30 percent and 0.0473 percent respectively, marking them as trace minerals with biological importance. Minor trace elements such as nickel, copper, zinc, strontium, zirconium, and niobium showed concentrations below 0.10 percent, signifying their presence in very small amounts. Despite their low values, these micro-elements remain relevant due to their catalytic and regulatory functions in biological systems.
All measured values exceeded their detection limits, indicating reliable quantification. The intensity values also confirmed sufficient signal response for major minerals.
Table 3. Elemental composition of the experimental feed mixture containing 25% dried grasshopper meal Ch(m) (Dociostaurus maroccanus) determined by X-ray fluorescence (XRF) analysis
     
The elemental composition of the 6-ch(m)25% fertilizer sample was examined by XRF analysis. The results indicated relatively high concentrations of potassium (43.5 mass%), calcium (14.4 mass%), phosphorus (10.9 mass%), and sulfur (9.16 mass%), demonstrating that this sample contains key macroelements required for plant nutrition. The presence of magnesium at 2.44 mass% and silicon at 5.52 mass% further supports its classification as a multi-nutrient fertilizer capable of improving soil fertility and supporting crop growth.
Moderate levels of chlorine (6.37 mass%) and iron (4.56 mass%) may originate from raw material impurities or production technologies, but these elements can also contribute to plant metabolic functions in limited amounts. Trace elements including manganese, nickel, copper, zinc, arsenic, bromine, rubidium, yttrium, and zirconium were detected in very low concentrations ranging from 0.006 to 1.0 mass%. Although minimal, such micronutrients can enhance enzymatic functions and physiological processes in crops.
Overall, the 6-ch(m)25% sample demonstrates a nutrient profile enriched with potassium, calcium, phosphorus, and sulfur, suggesting strong agricultural potential as a balanced fertilizer formulation that supplies both essential macroelements and beneficial trace minerals to support productive plant development.
Table 4. Elemental composition of the experimental feed mixture containing 15% dried grasshopper meal Ch(m) (Dociostaurus maroccanus) determined by X-ray fluorescence (XRF) analysis
     
This XRF-SQX analysis presents the elemental profile of the sample labeled as 5-ch(m)15%. Magnesium was the dominant element, with a content of 30.1 percent, indicating a high concentration of magnesium-based salts or compounds within the material. Phosphorus and silicon were also found at considerable levels, 15.3 percent and 10.5 percent respectively, demonstrating a strong presence of mineral components crucial for biochemical and structural functions. Aluminium content reached 6.62 percent and sulfur 4.79 percent, further contributing to the mineral matrix of the sample.
Potassium represented 24.7 percent of the detected elements, suggesting a major role of potassium-rich compounds, particularly important for physiological electrolyte balance if used in feed formulations. Calcium was detected at 5.72 percent, which implies the possible contribution of bone-related mineral sources.
Iron and manganese were present only at trace levels, 0.353 percent and 0.0469 percent respectively. Additional microelements including nickel, copper, zinc, strontium, zirconium, iodine, and niobium were all detected below 0.10 percent, confirming their minor but potentially relevant biological functions.
All quantified concentrations exceeded detection limits, confirming the reliability of the measurements. The relatively strong intensity values of potassium, phosphorus, and magnesium indicate robust signal responses and accurate detection of these key minerals.
Taken together, the elemental composition of the 5-ch(m)15% sample demonstrates a high presence of essential macro minerals such as magnesium, potassium, silicon, and phosphorus, along with metabolically important trace elements. These findings suggest that this material may serve as a valuable mineral source if included within livestock feed preparations.
Table 5. Elemental composition of the control feed sample determined by X-ray fluorescence (XRF) analysis
     
XRF-SQX analysis describes the mineral composition of the sample labeled as 4-nazorat. Magnesium was detected at 4.04 percent, which represents the major macroelement in this sample. Silicon and phosphorus were also present at considerable levels, 6.08 percent and 11.9 percent respectively, indicating the presence of minerals that play key structural and metabolic roles. Sulfur was measured at 7.07 percent, suggesting a relatively high sulfate-related mineral fraction.
Calcium and potassium were detected at noticeable concentrations, with values of 10.2 percent and 51.5 percent respectively. The high level of potassium in this sample highlights its potential importance for electrolyte regulation and nutrient metabolism in a biological system. Chlorine content reached 3.96 percent, most likely reflecting chloride-based compounds.
Iron was measured at 2.61 percent and manganese at 0.277 percent, both contributing as trace minerals associated with enzymatic and hematological activity. Additional trace elements including aluminium, copper, zinc, strontium, yttrium, barium, and nickel were found below one percent, confirming their minor presence in the composition.
All elements were detected above their respective detection limits, supporting the accuracy and analytical reliability of the measurements. The high intensity signal values recorded for potassium and calcium confirm their strong mineral representation within the sample matrix.
In general, the 4-nazorat sample demonstrates a balanced distribution of essential macroelements, particularly potassium, calcium, and phosphorus, together with trace minerals that could contribute to nutritional and physiological benefits in feed applications. The mineral profile appears suitable for potential dietary supplementation depending on the targeted species and feeding purpose.
Table 6. Elemental composition of the standard feed mixture sample determined by X-ray fluorescence (XRF) analysis
     
XRF-SQX analysis provides detailed mineral composition data for the sample coded as 3-standart. The dominant macroelements identified were silicon and calcium at 7.41 percent and 34.7 percent respectively, indicating that the material contains considerable amounts of silicate and calcium-rich compounds. Potassium also appeared in high quantity at 26.5 percent, reflecting its biological significance for osmotic balance and metabolic processes.
Phosphorus and sulfur contributed 5.94 percent and 5.50 percent, demonstrating that phosphate and sulfate minerals are notable constituents of the sample. Sodium and magnesium were present at intermediate levels (1.54 percent and 2.03 percent), supporting a well-balanced mineral structure.
Minor components such as aluminum and titanium were detected at 1.76 percent and 0.509 percent, likely originating from natural mineral inclusions. Iron was quantified at 5.42 percent, showing a meaningful amount that may support hematological and enzymatic functions when incorporated into feed formulations.
Several trace elements including manganese, nickel, copper, zinc, bromine, strontium, platinum, bismuth, and uranium were found below one percent. Although detected at low concentrations, these elements may still contribute to physiological processes depending on their biological availability.
The strong analytical signal responses for potassium and calcium indicate high precision in the detection of principal elements. Overall, the 3-standart sample exhibits a mineral profile notably enriched with calcium, potassium, and silicon, together with essential phosphorus, sulfur, and iron. This composition suggests its suitability for nutritional applications through support of skeletal development, metabolic enzyme activity, and electrolyte stability in animal diets.
Table 7. Elemental composition of the second dried grasshopper meal sample (Dociostaurus maroccanus) determined by X-ray fluorescence (XRF) analysis
     
SQX-based XRF analysis characterizes the elemental composition of the sample labeled as 2-drying ch(m). The results indicate that potassium and calcium are the most dominant macroelements, detected at 35.3 percent and 15.6 percent respectively. These minerals are essential in maintaining electrolyte balance, bone formation, and various metabolic reactions. Phosphorus and sulfur were also present in high quantities, at 10.3 percent and 11.2 percent, suggesting a strong content of phosphate and sulfate compounds.
Silicon was measured at 6.81 percent, which reflects the presence of silicate materials that are common in plant-derived feed stocks. Sodium and magnesium were present at moderate concentrations, 1.44 percent and 1.60 percent, indicating balanced mineral inclusion that can support physiological osmoregulation and enzymatic activities.
Chlorine appeared at 8.65 percent, which may be associated with salt-based additives or naturally occurring chloride residues. Aluminum was detected at non-significant amounts, showing no appreciable contribution to the total composition.
Among microelements, iron was relatively high at 6.55 percent, highlighting its potential contribution to hemoglobin formation and oxidative enzyme systems. Trace minerals including manganese, nickel, copper, zinc, bromine, and strontium were detected below 1 percent, although these elements remain biologically important as cofactors in numerous metabolic pathways.
The strong detection intensities for potassium, calcium, sulfur, and iron confirm analytical reliability for these key nutrients. Overall, the 2-drying ch(m) sample demonstrates a mineral profile rich in potassium, calcium, phosphorus, sulfur, and iron. This composition indicates that the material may support metabolic growth, skeletal strength, and general physiological performance when included in animal feed formulations.
The SQX XRF analysis provides information on the elemental composition of the sample labeled as firt dried Dociostaurus maroccanus. The highest value for a component was potassium at 39.5 percent; this leads to the conclusion that the sample is high in potassium from sources such as plant-based feed ingredients and mineral additives. Calcium was also elevated at 14.5 percent recognizing its potential for supporting bone mineralization/metabolism by aiding other physiological demands in livestock.
There were phosphorus and sulfur concentrations of 10.1 percent and 11.4 percent, confirming the presence of these compounds used for phosphate or sulfate purposes for transferring metabolic energy and forming sulfur-based amino acids. Silicon was present at 4.72 percent, which correlates with silicates residues associated with agricultural products.
Sodium and magnesium were at moderate levels of 1.37 percent and 1.49 percent, which can assist the maintenance of electrolyte and/or neuromuscular balance.
Chlorine was also found at 10.1 percent, likely a product of previously mentioned salt-based components to enhance palatability or stabilize nutrients. Undetected concentrations of aluminum provided further assurance of minimal, or indirect, contamination from any soil industrial-type impurities.
The trace metal values indicated that iron at 3.96 percent is a biologically important concentration that can be helpful for blood health. Zinc, copper, nickel, manganese, and bromine were all present at lower concentrations than 1 percent, but they are important for essential biochemical processes, including enzyme activation and immune function. Strontium and uranium were measured at trace levels higher than the environmental background level and are not considered important nutritionally or toxicologically.
Overall, the first dried Dociostaurus maroccanus has a favorable macro-mineral composition of high potassium, calcium, phosphorus, and sulfur. The presence of these supportive trace elements suggests suitability for enhancing animal nutrition, particularly growth and metabolic efficiency. The biochemical analysis of blood samples from broiler chickens fed diets containing different levels of dried grasshopper meal (Dociostaurus maroccanus) showed several notable changes compared with the control group. The mean values of glucose (GLU), cholesterol (CHOL), and total protein (TP) are presented in Table 8.
Table 8. Elemental composition of the dried grasshopper meal (Dociostaurus maroccanus) sample determined by X-ray fluorescence (XRF) analysis
     
The blood glucose level slightly decreased 397 with the inclusion of grasshopper meal, from 4.12 mmol/L in the control group to 3.82 mmol/L in the 25% inclusion group. This mild reduction may indicate improved carbohydrate utilization and energy metabolism efficiency in broilers fed insect-based diets.
Similar findings were reported by Adeola et al. (2021), who observed lower serum glucose in birds receiving insect protein compared with conventional soybean-based feeds. Serum cholesterol concentration also showed a gradual decrease with increasing grasshopper meal levels, from 3.25 mmol/L in the control group to 2.96 mmol/L at 25% inclusion. The reduction in cholesterol may be attributed to the high chitin and polyunsaturated fatty acid content of grasshopper meal, which can enhance lipid metabolism and reduce hepatic lipid synthesis. These results are in agreement with those of Makkar et al. (2014) and Bawa et al. (2020), who demonstrated that insect proteins help to maintain lower serum lipid profiles in poultry. Total protein levels increased slightly in experimental groups (68.4 g/L in the control, 70.1 g/L in Ch15%, and 72.0 g/L in Ch25%), indicating enhanced protein synthesis and improved nitrogen retention. The rise in TP levels may result from the high biological value and digestibility of insect derived amino acids such as lysine and methionine, which are abundant in Dociostaurus maroccanus meal. The hematological parameters presented in the same table revealed no adverse effects on blood composition. White blood cell (WBC) counts remained within the normal physiological range (5–12×10⁹/L), suggesting that grasshopper meal inclusion did not provoke inflammatory or immune stress responses. Red blood cell (RBC) counts and hemoglobin (HGB) concentrations showed slight increases in the Ch15% and Ch25% groups compared with the control, implying better oxygen carrying capacity and erythropoietic activity. Platelet (PLT) counts also showed a small but consistent rise, possibly reflecting enhanced hematopoietic function.
Overall, the inclusion of Dociostaurus maroccanus meal up to 25% in broiler diets produced positive biochemical and hematological effects without any evidence of toxicity or physiological stress. The improved protein profile, reduced serum cholesterol, and stable blood indices confirm that grasshopper meal is a safe and nutritionally effective alternative protein source for poultry feeding.
Effects of Dociostaurus maroccanus meal on blood biochemical and hematological parameters in broiler chickens
Biochemical analyses of blood samples obtained from broiler chickens that were fed diets with different levels of dried grasshopper meal (Dociostaurus maroccanus) showed several conspicuous changes when compared to birds in the control group. The mean values of glucose (GLU), cholesterol (CHOL), and total protein (TP) are shown in Table 9. Blood glucose level decreased slightly in the groups fed dried grasshopper meal, from 4.12 mmol/L in the control group to 3.82 mmol/L in the 25% inclusion group. This minor reduction in blood glucose could indicate that broilers fed with insect protein are more efficient in carbohydrate utilization and energy metabolism. Adeola et al. (2021) found similar results in birds in which blood glucose concentration measured lower in hairs with insect protein in the feed compared to typical soybean meal feeds. Serum cholesterol concentration showed a gradual decrease, from 3.25 mmol/L in the control group to 2.96 mmol/L in 25% inclusion group. The reduction in serum cholesterol concentration may be attributed to high chitin and polyunsaturated fatty acid content of dried grasshopper meal, which may have increased lipid metabolism and resulted in decreased hepatic lipid synthesis. Makkar et al. (2014) and Bawa et al. (2020) produced similar results, determining that feed derived from insects promotes lower serum lipid concentrations in poultry.
Table 9. Biochemical and hematological parameters of broilers fed diets supplemented with dried grasshopper meal (Ch(m), Dociostaurus maroccanus)
     
Total protein levels for the experimental groups slightly increased (68.4 g/L for the control group, 442 70.1 g/L for the dried grasshopper 15% group, and 72.0 g/L for the 25% group), indicative of increased protein synthesis and improved nitrogen retention. The increase 443 in TP could be attributed to the high biological value and digestibility of lysine and methionine-containing insect protein derived from Dociostaurus maroccanus meal. Hematological parameters analyzed in the same study did not cause any negative effect on blood composition. The white blood cell count remained within the normal physiological range (5-12 ×10⁹/L), indicative that the inclusion of grasshopper meal did not provoke inflammatory or immune stress responses to the experimental animals. Red blood cell counts and hemoglobin concentrations remained slightly raised compared to the control in the 15% Moroccan grasshopper (Dociostaurus maroccanus) and 25% Moroccan grasshopper (Dociostaurus maroccanus) groups, which suggested improved oxygen-carrying capacity and erythropoietic activity. A small but consistent increase was also observed in platelet counts, which might indicate enhanced hematopoietic function (Table 9). Overall, the incorporation of Dociostaurus maroccanus meal in broiler diets up to 25% exhibited positive biochemical and hematological effects, providing no evidence of toxic substance or physiological stress. Better protein profile, lowered serum cholesterol, and unquestionable blood indices provide further solid evidence that grasshopper meal may be utilized as a safe and effective alternative protein source in poultry feeding.

4. Discussion

The results of this study demonstrate that mineral-enriched feed granules have a positive influence on the hematological, biochemical, and overall physiological status of broiler chickens. The improvements observed in the 15% and particularly in the 25% supplementation groups confirm that appropriate mineral balance in the diet is a key factor determining metabolic efficiency, immune function, and meat quality. The enhancement of red blood cell and hemoglobin values in birds fed with the 25% mineral-enriched diet suggests that minerals such as iron, zinc, and copper effectively supported erythropoiesis and oxygen transport. Similar findings were reported who observed that supplementation with trace elements improves hematological stability and reduces oxidative stress in broilers [13,14].
The observed increase in total protein concentration in the serum of mineral-fed birds indicates an improved hepatic protein synthesis rate, which is essential for growth and muscle development. Calcium and phosphorus are known to play central roles in metabolic enzyme activation and bone mineralization. The balanced Ca/P ratio achieved in the 25% diet promoted proper absorption and utilization of these elements, leading to better protein deposition in tissues. Excess mineral inclusion, as in the 45% group, did not further enhance biochemical parameters, confirming that excessive mineralization can disturb electrolyte balance and digestive absorption mechanisms, as suggested by previous research [15].
Glucose levels were also moderately higher in the 15% and 25% groups, reflecting enhanced carbohydrate metabolism and energy turnover. This result is consistent with reports that adequate magnesium and potassium concentrations in feed support glucose transport and insulin regulation in avian species. The absence of pathological deviations in hematological indices such as mean corpuscular volume and mean corpuscular hemoglobin concentration shows that moderate mineral enrichment does not induce erythrocyte deformation or osmotic imbalance [16,17].
The improvement in meat protein content in the 25% group demonstrates that balanced mineral nutrition leads to superior nutrient utilization and muscle accretion. Protein levels of up to 23.9% in enriched groups indicate efficient conversion of dietary nutrients into lean tissue. Importantly, toxicological and microbiological analyses confirmed that mineral supplementation did not cause accumulation of heavy metals or the presence of harmful microorganisms. The meat samples from all groups complied fully with GOST 56931–2016, GOST 31628–2012, and GOST 33824–2016 safety standards. These findings suggest that the use of natural mineral sources such as Acheta domesticus powder and fishmeal can safely enhance feed quality without compromising food safety [18].
From a physiological perspective, minerals such as zinc and copper act as cofactors for antioxidant enzymes including superoxide dismutase and catalase, reducing oxidative stress and protecting cellular membranes. This mechanism likely contributed to the improved hematological and biochemical profiles observed in the experimental groups. Iron and manganese support the function of cytochrome oxidases and hemoglobin synthesis, while calcium plays a role in neuromuscular signaling and enzymatic activation. The synergistic effect of these minerals explains the overall enhancement in the birds’ metabolic and immune parameters [19,20].
The findings of this study align with global trends in sustainable poultry production, emphasizing the use of natural mineral and protein sources to replace synthetic additives. In addition, the local formulation used in this experiment demonstrates the potential of regionally available resources for improving poultry productivity in Uzbekistan. The absence of toxic effects even at the highest mineral level (45%) confirms the general safety of the formulation, though the optimum inclusion level for performance and physiological benefit remains at 25% [21].
Overall, the study confirms that moderate mineral enrichment of feed granules significantly improves metabolic function, enhances blood parameters, and produces meat of superior nutritional quality. These results highlight the importance of balanced mineral nutrition in maintaining homeostasis and suggest that a 25% inclusion rate of mineral-enriched granules provides the best combination of growth, health, and product safety in broiler chickens.

5. Conclusions

The results of this study indicate that substituting dried grasshopper meal (Dociostaurus maroccanus) for proportion of broiler diets, distal to 25%, can serve as a safe protein source. The feed combinations with grasshopper meal were higher in crude protein content and also had an elemental context that is much more favorable than the corresponding diet with no grasshopper meal and there was no detectable level of toxicity specifically with Pb, Cd, As, or Hg chemical elements. The blood biochemistry and hematology results informed indications of superior protein metabolism, lower serum cholesterol, and stable physiological indexing, which in combination suggests that grasshopper meal does not induce an adverse effect on health biological function. In conclusion, the indication is for grasshopper meal, at proportion, can replace protein in conventional feed ingredients, with a sustainable feed formulation and eco-friendly poultry production systems, in mind.

Authors’ Contributions

The experiment was conducted and analyzed by J. Komilov. The manuscript was written by J. Komilov. Experimental supervision and scientific guidance were provided by M. Allamuratov. Technical assistance during laboratory work and data processing was provided by T. Adilbekov.

Conflict of Interest

The authors declare that there is no conflict of interest regarding the publication of this article. The research was conducted independently without any commercial or financial relationships that could be construed as a potential conflict of interest. All authors have contributed to the work, approved the final version of the manuscript, and agree with its submission.

References

[1]  Adewole D., Rogiewicz A., Dyck B., Slominski B., “Chemical and nutritive characteristics of canola meal from Canadian processing facilities,” Animal Feed Science and Technology, vol. 222, pp. 17–30, 2016.
[2]  Aguihe P. C., Ospina-Rojas I. C., Sakamoto M. I., Pozza P. C., Iyayi E. A., Murakami A. E., “Dietary glycine equivalent and standardized ileal digestible methionine + cysteine levels for male broiler chickens fed low-crude-protein diets,” Canadian Journal of Animal Science, vol. 102, pp. 19–29, 2022.
[3]  Ajao A. M., Olukosi O. A., “Apparent ileal amino acid digestibility, gut morphometrics, and gene expression of peptide and amino acid transporters in broiler chickens fed low-crude-protein diets supplemented with crystalline amino acids with soybean meal, canola meal, or corn DDGS as protein feedstuffs,” Journal of the Science of Food and Agriculture, vol. 104, no. 7, pp. 4189–4200, 2024.
[4]  Belhadj Slimen I., Yerou H., Ben Larbi M., M’Hamdi N., Najar T., “Insects as an alternative protein source for poultry nutrition: A review,” Frontiers in Veterinary Science, vol. 10, p. 1200031, 2023.
[5]  Chrystal P. V., Greenhalgh S., Selle P. H., Liu S. Y., “Facilitating the acceptance of tangibly reduced-crude-protein diets for chicken-meat production,” Animal Nutrition, vol. 6, no. 3, pp. 247–257, 2020.
[6]  Elahi U., Xu C. C., Wang J., Lin J., Wu S. G., Zhang H. J., Qi G. H., “Insect meal as a feed ingredient for poultry,” Animal Bioscience, vol. 35, no. 2, pp. 332–346, 2022.
[7]  Hossain M. A., Pandey A., Satoh S., “Effects of organic acids on growth and phosphorus utilization in red sea bream (Pagrus major),” Fisheries Science, vol. 73, pp. 1309–1317, 2007.
[8]  Jin X., Yuan B., Liu M., Zhu M., Zhang X., Xie G., Wu W., Wang Z., Xu H., Lv Y., et al., “Dietary Hermetia illucens larvae replacement alleviates diarrhea and improves intestinal barrier function in weaned piglets challenged with enterotoxigenic Escherichia coli K88,” Frontiers in Veterinary Science, vol. 8, p. 746224, 2021.
[9]  Kaewtapee C., Siegert W., Bunchasak C., Chungopast S., “Amino acid digestibility of insect meals and effects on key bacterial groups in excreta of caecectomised laying hens,” Archives of Animal Nutrition, vol. 77, no. 4, pp. 261–274, 2023.
[10]  Kandel M., Macelline S. P., Toghyani M., Chrystal P. V., Choct M., Cowieson A. J., Liu S. Y., Selle P. H., “The potential of canola to decrease soybean meal inclusions in diets for broiler chickens,” Animal Nutrition, vol. 20, pp. 342–354, 2024.
[11]  Karpe A. V., Walsh T. K., Carrol A. J., Zhou X. R., “Biotransformation of canola feedstock waste using Brassica pest microbiome: Proof of concept for insects as bioengineers,” International Journal of Molecular Sciences, vol. 26, no. 16, p. 7715, 2025.
[12]  Kim S. W., Hansen J. A., “Diet formulation and feeding programs,” in Sustainable Swine Nutrition, L. I. Chiba, Ed. Oxford, UK: Blackwell Publishing Ltd., 2022, pp. 271–284.
[13]  Kim B. G., Lindemann M. D., “A new spreadsheet method for the experimental animal allotment,” Journal of Animal Science, vol. 85, p. 2112, 2007.
[14]  Koelkebeck K. W., Parsons C. M., Wang X., “Effect of acute heat stress on amino acid digestibility in laying hens,” Poultry Science, vol. 77, no. 9, pp. 1393–1396, 1998.
[15]  McClellan K. A., Fowler E. C., Perez-Palencia J. Y., St-Pierre B., Weaver E. M., Levesque C. L., Koch K., Mueller S., Hong J., “Supplemental effects of acidifier and encapsulated butyrate solely and combined in high canola meal diets for nursery pigs,” Journal of Animal Science, vol. 103, p. skaf111, 2025.
[16]  Rakhimov K. R., Sadykov B. A., Allamuratov M., “Fermentnye sistemy polostnogo i membrannogo gidroliza pitatel'nykh veshchestv v ontogeneze karakul’skikh ovets,” Zhurnal Evolyutsionnoi Biokhimii i Fiziologii, vol. 25, no. 4, pp. 460–466, 1989.
[17]  Schiavone A., De Marco M., Martínez S., Dabbou S., Renna M., Madrid J., Hernandez F., Rotolo L., Costa P., Gai F., et al., “Nutritional value of a partially defatted and a highly defatted black soldier fly larvae (Hermetia illucens L.) meal for broiler chickens,” Journal of Animal Science and Biotechnology, vol. 8, p. 51, 2017.
[18]  Son J., Kim B. G., “Nutrient digestibility of soybean meal products based on in vitro procedures for pigs,” Agriculture, vol. 13, p. 1631, 2023.
[19]  Selle P. H., de Paula Dorigam J. C., Lemme A., Chrystal P. V., Liu S. Y., “Synthetic and crystalline amino acids: Alternatives to soybean meal in chicken-meat production,” Animals, vol. 10, no. 4, p. 729, 2020.
[20]  Song Y. S., Ha D. U., Park K., Kim B. G., “Dietary full-fat or defatted black soldier fly larvae can replace protein sources with no detrimental effect on growth performance or intestinal health of nursery pigs,” Journal of Animal Science, vol. 102, p. skae333, 2024.
[21]  Zaripov B., Akhmedova G., Usanova S., Bekchonova M., Komilov J., Ummatqulova S., Sabirova D., “Food security and sustainable development: Applying modern agriculture,” Proceedings of Environmental Science, Engineering and Management, vol. 12, no. 2, pp. 549–555, 2025.