International Journal of Energy Engineering
p-ISSN: 2163-1891 e-ISSN: 2163-1905
2013; 3(6): 294-306
doi:10.5923/j.ijee.20130306.03
Rakhmad Syafutra Lubis1, Sasongko Pramono Hadi2, Tumiran2
1PhD Student in Electrical Engineering and Information Technology, Gadjah Mada University, Yogyakarta, 55281, Indonesia
2Electrical Engineering and Information Technology, Gadjah Mada University, Yogyakarta, 55281, Indonesia
Correspondence to: Rakhmad Syafutra Lubis, PhD Student in Electrical Engineering and Information Technology, Gadjah Mada University, Yogyakarta, 55281, Indonesia.
| Email: | ![]() |
Copyright © 2012 Scientific & Academic Publishing. All Rights Reserved.
This paper presents techniques for OPF-based electricity market enhancement with considering contingencies, allocating the Flexible AC Transmission System (FACTS) and estimating the system-wide available transfer capability (SATC) computations. The voltage stability constraints optimal power flow (VSC-OPF) problem formulation installs with the FACTS and includes the loading parameter in order to ensure enhancement a proper stability margin for the market solution. The first technique is an iterative approach and computes the SATC value based on the
contingency criterion for an initial optimal operating condition, to then solve an OPF problem for the worst contingency case; this process is repeated until the changes in the SATC values are below a minimum threshold. The second technique solves a reduced number of OPF associated with contingency cases according to a ranking based on the power transfer sensitivity analysis. Both techniques are tested on the IEEE 14-bus test system considering locational marginal prices (LMP) and nodal congestion prices (NCP) and then compared with results obtained by means of the VSC-OPF considering
contingency criteria technique without installing the FACTS. A good system response for the allocated the FACTS devices which indicates that the devices given a powerful response for the VSC-OPF method, the two method, with presenting the security method and the transaction method result in improved transactions, higher security margins and lower prices.
Keywords:
Electricity markets, Optimal power flow,
contingency criterion, FACTS, Available transfer capability
Cite this paper: Rakhmad Syafutra Lubis, Sasongko Pramono Hadi, Tumiran, Optimal Power Flow Enhancement Considering Contingency with Allocate FACTS, International Journal of Energy Engineering, Vol. 3 No. 6, 2013, pp. 294-306. doi: 10.5923/j.ijee.20130306.03.
and
may be approximated by following relationships:![]() | (1) |
where:
and
are voltages at buses i and j;
: reactance of the line;
: angle between the
and
. Under the normal operating condition for high voltage line the voltage
and
and
is small. The active power flow coupled with
and reactive power flow is linked with difference between the
and
. The control of
acts on both active and reactive power flows. The different types of FACTS devices have been choose and locate optimally in order to control the power flows in the power system network. The SVC can be used to control the reactive power. The reactance of the line can be changed by the TCSC. The TCPAR varies the phase angle between the two terminal voltages. The UPFC is most power full and versatile device, which control line reactance, terminal voltage, and the phase angle between the buses. In this paper, three different typical FACTS are selected: SVC, TCSC and UPFC.
is assumed and the following differential equation holdsThe model is completed by the algebraic equation expressing the reactive power injected at the SVC node:![]() | (3) |
is locked if one of its limits is reached and the first derivative is set to zero. ![]() | (4) |
is the admittance of the line at which the TCSC is connected, and the indexes i and j stand for the sending and receiving bus indices, respectively.The TCSC differential equations are as follows:![]() | (5) |
The state variables
depend on the TCSC model. The PI controller is enabled only for the constant power flow operation mode. The output signal is the series susceptance B of the TCSC, as:
During the power flow analysis the TCSC is modeled as a constant capacitive reactance that modifies the line reactance
as follows:
where
is the percentage of series compensation. The TCSC state variables are initialized after the power flow analysis as well as the reference power of the PI controller
. At this step, a check of
and/or
anti-windup limits is performed. In case of limit violation a warning message is displayed. Initialization a check for SVC limits is performed.
where the
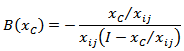
is rated voltage of the transmission line, where the UPFC is connected. It is connected to the system through two coupling transformers integrated into the model of the transmission line.The whole UPFC model for representing power flow is depicted in Figure 1 or equation (6).![]() | Figure 1. Complete injection model of UPFC |
![]() | (6) |
and
: bus voltages,
: equivalent series reactance,
,
: real power injection on bus-i,
: real power injection on bus-j,
: reactive power injection on bus-i,
: reactive power injection on bus-j,
: reactive power injection by converter shunt.
Technical limits:where
and
are vectors of supply and demand bids in dollars per megawatt hour, respectively;
stand for the generator reactive powers;
and
represent the bus phasor voltages;
and
represent the power flowing through the lines in both directions, and are used to model system security by limiting the transmission line power flows, together with line current
and
thermal limits and bus voltage limits; and
and
represent bounded supply and demand power bids in megawatts. In this model, which is typically referred to as a security constrained OPF,
and
limits are obtained by means of off-line angle and/or voltage stability studies, based on an
contingency criterion. Thus, taking out one line that realistically creates stability problems at a time, the maximum power transfer limits on the remaining lines are determined through angle and/or voltage stability analyses; the minimum of these various maximum limits for each line is then used as the limit for the corresponding OPF constraint. In practice[15], however, these limits are typically determined based mostly on power-flow-based voltage stability studies.As this can see in[1], along with the current system equations
that provides the operating point, a second set of power flow equations
and constraints with a subscript c are introduced to represent the system at a maximum loading condition, which can be associated with any given system limit or a voltage stability condition. Equations
are associated with a loading parameter
(expressed in p.u.), which ensures that the system has the required margin of security. The loading margin
is also included in the objective function through a properly scaled weighting factor
to guarantee the required maximum loading conditions (
and
to avoid affecting market solutions). This parameter is bounded within minimum and maximum limits, respectively, to ensure a minimum security margin in all operating conditions and to avoid “excessive” levels of security. Observe that the higher the value of
, the more “congested” the solution for the system would be. An improper choice of
may result in an unfeasible OPF problem if a voltage stability limit (collapse point) corresponding to a system singularity (saddle-node bifurcation) or a given system controller limit like generator reactive power limits (limit-induced bifurcation) is encountered.
, which is the function of plant output[24]![]() | (8) |
![]() | (9) |
However, the most accepted analytical tool used to investigate voltage collapse phenomena is the bifurcation theory, which is a general mathematical theory able to classify instabilities, studies the system behavior in the neighborhood of collapse or unstable points and gives quantitative information on remedial actions to avoid critical conditions[25]. In the bifurcation theory, it is assumed that system equations depend on a set of parameters together with state variables, as follows:![]() | (10) |
, which modifies generator and load powers as follows:![]() | (11) |
are called power directions. Equations (11) differ from the model typically used in continuation power flow analysis, i.e.![]() | (12) |
affects only variable powers
and
.Thus, for the current
and maximum loading conditions
of (7), the generator and load powers are defined as follows[1]:![]() | (13) |
and
stand for generator and load powers which are not part of the market bidding (e.g., must-run generators, inelastic loads), and
represents a scalar variable used to distribute the system losses associated only with the solution of the critical power flow equations
in proportion to the power injections obtained in the solution process (i.e., a standard distributed slack bus model is used). It is assumed that the losses corresponding to the maximum loading level defined by
in equation (7) and equation (9) (8) are distributed among all generators; other possible mechanisms to handle increased losses could be implemented, but they are beyond the main interest of the present paper.Therefore, ![]() | (14) |
![]() | (15) |
![]() | (16) |
![]() | (17) |
can be minimized by the FACTS devices that installed at the best location in an optimal location), therefore will be maximizing the
that will influence and increase power transfer or the power flow, because the level of loadability or the level of critical condition (
represents the maximum loadability of the network where this value viewed as the measure of the congestion of the network[16]) will be decreased. While, in the same manner for the demand
can be arranged as![]() | (18) |
will increase if
is minimized by the FACTS.
Equality constraints:
Technical limits:Inequality constraints:
Limit for the FACTS devices:
. These LMPs can be decomposed in several terms, typically associated with bidding costs and dual variables (shadow prices) of system constraints. From equation (7) and equation (13), the expressions for LMPs without FACTS obtained as.where
represents a constant load demand power factor angle.The LMPs are directly related to the costs
and
, and do not directly depend on the weighting factor
from the definition of equation (20). These LMPs have additional terms associated with
which represent the added value of the proposed OPF technique. If a maximum value
is imposed on the loading parameter, when the weighting factor
reaches a value, say
, at which
, there is no need to solve other OPFs for
, since the security level cannot increase any further[16], but in this paper as descript in equation (19), the security level can be enhanced with allocated the FACTS devices at a good location. Furthermore, if the FACTS are installed, the LMPs can be defined as![]() | (21) |
indicates Lagrangian multipliers of the power flow equations,
stands for the dual-variables (shadow prices) for the corresponding bid blocks, which are assumed to be constant values. In (20), terms that depend on the loading parameter
are not “standard”, and can be viewed as costs due to voltage stability constraints included in the power flow equations
, while in (21), terms that depend on the loading parameter
are steady-state, and can be viewed as costs due to voltage stability constraints included in the power flow equations
. By using the decomposition formula for LMPs, equations (20) [1] and also equation (21) can be decomposed to determine NCPs that are correlated to transmission line limits and hence define prices associated with the maximum loading condition (MLC) or “system” available transfer capability (SATC).where
are the voltage phases
and magnitudes
,
represents the inequality constraint functions (e.g. transmission line currents), and
and
are the shadow prices associated with the inequality constraints. ![]() | (23) |
for the VSC-OPF problem equation (7) and (19) can be defined as.
contingency criterion in electricity markets based on this type of OPF approach. Contingencies are included in equation (7), equation (19) and the following equation (26) by taking out the selected lines when formulating the “critical” power flow equations
, thus ensuring that the current solution of the VSC-OPF problem is feasible also for the given contingency. Although one could solve one VSC-OPF for the outage of each line of the system, this would result in a lengthy process for realistic size networks. The techniques proposed in[1] address the problem of efficiently determining the contingencies which cause the worst effects on the system, i.e. the lowest SATC values that also is become the topic to discuss in this paper.
contingency criterion, based on the continuation power flow analysis, in the VSC-OPF based market solutions depicted in in[1]. This method is basically composed of two basic steps, while in the block set supply and demand bids
and
as generator and loading directions is inserted the FACTS devices as dynamic component .The VSC-OPF problem control variables, such as generator voltages and reactive powers can be modified by FACTS in order to minimize costs and maximize the loading margin
for the given contingency because the OPF-based solution of the power flow equations
and its associated SATC generally differ from the corresponding values obtained with the CPF, hence also needs an iterative process for the system installed FACTS.It is necessary to consider the system effects of a line outage, in order to avoid unfeasible conditions when removing a line in equations
, that it is other function of FACTS. For the given operating conditions, a line outage may cause the original grid to separate into two or more subsystems, i.e. islanding; where the smallest island may be discarded, or just consider the associated contingency as unfeasible.
can be computed. Then, based on this solution and assuming a small variation
of the loading parameter, normalized sensitivity factors can be approximately computed as follows:where
and
are the sensitivity factor and the power flows of line
, respectively; this requires an additional solution of
for
. The scaling is introduced for properly evaluating the “weight” of each line in the system, and thus considers only those lines characterized by both “significant” power transfers and high sensitivities[18].
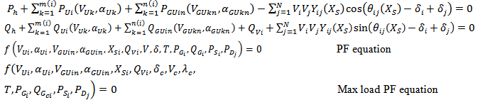
Equality constraints:

PF equation 
Max load
PF equationTechnical limits:Inequality constraints:
where
represent power flow equations for the system with under study with one line outage. Although one could solve one VSC-OPF problem for the outage of each line of the system, this would result in a lengthy process for realistic size networks. The techniques this paper address the problem of determining efficiently the contingencies which cause the worst effects on the system, i.e. the lowest loading margin
and
. The following is assumed to be defined using loading directions in equation (3.3) and then using equation (7.2) as presented in[19]:where
indicates the line outage, Observe that (27) analogy with equation (24), where the search for the minimum was limited only to the loading parameters. In equation (27) the minimum ALC is computed for the product of both
and the TTL since power bids
are not fixed and the optimization process adjusts both
and
in order to minimize the objective function. Finally, for a good case in FACTS installed the lowest loading margin
and
will be increase.
and 
, i.e. it is assumed that the system can be securely loaded to an SATC between 10 and 80% of the total transaction level of the given solution. The weighting factor k in the objective function G of equation (8) and equation (17), used for maximizing the loading parameter, was set to
, as this was determined to be a value that does not significantly affect the market solution. Furthermore, where had been found for the fixed value
used to represents the
is neglected
, as this does not really affect results obtained with the equation (7) techniques[1] and the proposed techniques (equation (24)), since all computed values of SATC would be reduced by the same amount.
is proportional cost active power,
is maximum power bid,
is load active power,
is load reactive power,
is generator active power,
is generator maximum and minimum reactive power,
is line maximum apparent power limit,
is line maximum active power limit,
is line maximum current limit.
|
|
and
. Maximum active power flow limits were computed off-line using a continuation power flow with generation and load directions based on the corresponding power bids, whereas thermal limits were assumed to be twice the values of the line currents at base load conditions for a variation kV voltage rating. In Table 2, it is assumed that
and
. Maximum and minimum voltage limits are considered to be 1.1 and 0.9 p.u, so that the results discussed here may also be readily reproduced as presented in[1].
for without and with installing the FACTS devices in Table 3, Table 4, Table 7, Table 8, Table 9, Table 10, Table 11 and Table 12,
is voltage at each bus,
is the LMP,
is supply and demand maximum power bid,
is generator and load active power including
and
,
is pay for supply and demand. The other definition is the OPF-based approach which represents the maximum load-ability of the network. Furthermore, this value can be viewed as a measure of the congestion of the network, which is represented here using the following maximum loading condition (MLC) definition[19] in case before FACTS installed.
|
|
|
![]() | (28) |
![]() | (29) |
given an enhancement.
|
used for the sensitivity analysis and the SATCs computed by means of the continuation power flows technique for the two steps required by the iterative method described in Section 3.6.1 when applying the
contingency criterion without installing the FACTS. Observe that both methods lead to similar conclusions, i.e. the sensitivity analysis indicates that the line 1-2 (Line-11) has the highest impact in the system power flows, therefore Line-11 becomes the best location of the FACTS devices, furthermore the
contingency criteria show that the outage of line 1-2 leads to low SATC values. The line 3-2 has generation at the two ends and the line 7-9 has transformer with lower SATC value than the line 1-2, while the line 8-7 with lower SATC than those above, therefore leads to the lowest SATC values but do not use as the best location of the FACTS devices because also has transformer as described in[23].
|
|
used for the sensitivity analysis when applying the
contingency criterion which becomes decrease after installing the UPFC in line 1-2.
|
|
value with respect to the one obtained with the standard OPF problem equation (7) in Table 3 (the higher losses are due the transaction level being higher). Furthermore Table 13 gives NCPs values about the topics that given in Table 3 until Table 12.
|
, gives 20% of the total transaction level TTL, indicating that the current solution has the minimum required security level
with
. As explained and expected without and with the FACTS, the higher minimum security margin leads to a lower TTL and, with respect to results reported in Table 7, Table 8 and Table 9, also LMPs and NCPs are generally lower, which is due to the lower level of congestion of the current solution. Observe that a more secure solution leads to lower costs, because the demand model is assumed to be elastic; hence, higher stability margins lead to less congested, i.e. lower, and “cheaper” optimal solutions. For the sake of comparison, Table 10, Table 11 and Table 12 depict the final solution obtained with allocating the UPFC in Line-11. In this case the whole results given satisfactory an enhancement or improvement.
|
|
|
![]() | Figure 2. Eigenvalue the IEEE 14-bus system with UPFC on line-11. Statistics of Eigenvalue: Positive eigs: 0; Negative eigs: 27; Complex pairs: 6; Zero eigs: 0; Dynamic order: 27 |