Food and Public Health

p-ISSN: 2162-9412    e-ISSN: 2162-8440

2014;  4(1): 1-9

doi:10.5923/j.fph.20140401.01

Evaluation of Antihyperlipidemic Activity of Citrus Peels Powders Fortified Biscuits in Albino Induced Hyperlipidemia

M. Kamal E. Youssef1, Hanan M. K. E. Youssef2, Rasha M. A. Mousa3

1Food Science & Technology Department, Faculty of Agriculture, Assiut University, Egypt

2Home Economic Department, Faculty of Specific Education, Ain Shams University, Egypt

3Home Economic Department, Faculty of Specific Education, Assiut University, Egypt

Correspondence to: Hanan M. K. E. Youssef, Home Economic Department, Faculty of Specific Education, Ain Shams University, Egypt.

Email:

Copyright © 2012 Scientific & Academic Publishing. All Rights Reserved.

Abstract

Citrus peels, citrus juices factories waste by-products are valuable functional food. This investigation evaluated activity citrus peels powders fortified biscuits antihyperlipidemic in induced hyperlipidemic rats. 10% fortified biscuits (FB) with peels powders of four citrus groups, namely: Hyperlipidemic basal diet (HLD) + 10% (FB) with Baladi orange peels powder (PP); HLD + 10% FB with 10% Abo-Sora orange (PP); HLD + 10% FB with Tangerine (PP); and HLD + 10% FB with Baladi lemon (PP) were assessed. Three extra groups: HLD Group, HLD + 10% wheat flour biscuits group, and basal diet control (BD) were assessed. Effect of studied groups on body weight (BW), cholesterol fractions, and triglycerides was assessed. Data recorded positive BW gain in all studied groups. Highest BW gain was recorded in HLD + 10% FB Abo-Sora (PP), and HLD + 10% FB Baladi lemon (PP), suggesting recommending both groups for under-weight persons diets. Data showed that HLD + 10% FBASORP reduced cholesterol, (28.838%), LDL (33.357%), and triglycerides (49.936%), and raised HDL (28.838%) of rats serum recommending it for obese, and hyperlipidemic persons diets.

Keywords: Citrus peels, SB, Antihyperlipidemia, Hyperlipidemic rats, BW, Cholesterol, HDL, LDL, Triglycerides, orange, Abo-Sora orange, Tangerine, Lemon

Cite this paper: M. Kamal E. Youssef, Hanan M. K. E. Youssef, Rasha M. A. Mousa, Evaluation of Antihyperlipidemic Activity of Citrus Peels Powders Fortified Biscuits in Albino Induced Hyperlipidemia, Food and Public Health, Vol. 4 No. 1, 2014, pp. 1-9. doi: 10.5923/j.fph.20140401.01.

1. Introduction

Fruit peel is the outer skin or the covering of fruits. In general, the peel in some thick coated fruits like pomegranate, passion fruit, mangosteen is known as rind, where as in citrus category fruits like oranges it is better termed as zest. Many people who eat oranges discard the orange peel, mainly because of its bitter taste. Orange peels contain compounds that are beneficial to our health. One medium orange contains over 60 flavonoids and 170 different phytonutrients which help keep up our health[1]. Likewise, citrus peel is being recognized as one of the essential component of our diet as it contains many vital nutrients and non-nutrient compounds which play important role in wellbeing[2, 3, 4, 5].
On the other hand, citrus peel is low in calories, sugar, fats and is from cholesterol. It adds to the bulk of the food and helps cut down overall food intake[6]. Citrus peel fibers add bulk to the diet and fill up, making less likely to snack on fatty foods. Therefore, we need to eat fibers every day as part of balanced diet[7, 8].
Citrus fruits peels contain considerable amounts of minerals (calcium, selenium, manganese, and zinc … etc and vitamins (C, A, and B-complex) several fold than its pulp[5, 9]. Fraley[10] reported that citrus peels (oranges, lemons, limes and grapefruits) had previously been known for their high levels of vitamin C and its associated health benefits. Marks[9] stated that dried orange peel considered a by-product of the fruit is popularly used in a variety of recipes as a flavoring as well as a fortificating substances in bakery. Wolf[11] reported that orange peels are a source of health-promoting carbohydrates. Peels also contain healthy polymethoxylated flavons (PMF), which are plant pigment compounds present in all citrus fruits.
Several authors found that the PMF compounds in citrus peels have the potential to lower cholesterol when included in our diet as well as LDL cholesterol without the side effects of mainstream cholesterol drugs. Orange peel and pulp contain hesperidin, a flavonoid that helps lower cholesterol and triglycerides. Orange peel is also a source of pectin, a natural fiber that helps reduce cholesterol levels[2, 4, 5, 6, 12, 13, 14].
KGK in a joint study with the US Department of Agriculture identified a class of compounds isolated from orange and tangerine peels that shows promise in animal studies as a potent natural alternative for lowering LDL cholesterol, without the possible side effects, such as liver disease and muscle weakness, of conventional cholesterol lowering drugs[15]. Heller[16] reported a powerful antioxidant, sytrinol a patented formula combining citrus PMF, alpha, delta and gamma tocotrienols and other constituents which had been shown to lower total cholesterol and triglyceride levels. However, PMFs were seen to have the most potent cholesterol-lowering effect of any other citrus flavonoid. Baker[17] outlined the potential dietary benefits of citrus pectin and fiber. Meyer[18] stated that fruit hydroxycinnamic acids inhibited human LDL oxidation in vitro.
The present investigation was designed to evaluate antihyper-cholesterolemic and antihyperlipidemic activity of citrus peels powders fortified biscuits in albino induced hypercholesterolemic rats as well as their effect on their body weight.

2. Materials and Methods

2.1. Materials

10 kg wheat flour 72% extraction hard winter were obtained from El-Haram Milling Company, Faesal, Giza in January 2013. Sugar powder, corn oil, sodium chloride, ammonium bicarbonate, and rose oil were purchased from Assiut local market at January 2013. 20 kg of each of the four studied citrus fruits were procured from Assiut University Horticulture Farm namely: Baladi orange, Abo-Sora orange, Tangerine and Baladi lemon in January 2013. The citrus fruits were peeled and the obtained peels were sun dried to complete dryness on wood trays. The dried peels were milled by hammer mill to produce citrus peels powders. The citrus peel powder was kept in glass containers at 4°C in the refrigerator till the analysis.

2.2. Technological Process

2.2.1. Biscuit Formula and Ingredients
Table (1). Biscuit formula*
     
Control biscuit dough was prepared according to the formula presented in table (1),[19]. The supplemented biscuits with citrus peels powders were prepared using the same formula except for replacing the wheat flour with 10% of each of the four studied citrus peels powders.
2.2.2. Dough Preparation
Powdered sugar and corn oil were creamed in Braun Mixer with a flat beater for 2 minutes at 6 rpm. Water containing sodium chloride, ammonium bicarbonate and rose oil was added to the cream and mixed for 5 minutes at 125 rpm to obtain a homogenous cream. Thereafter flour was added slowly to the above cream and was mixed for 2 minutes at 60 rpm to obtain biscuit dough[19].
2.2.3. Preparation of Biscuit
The dough was sheeted to a thickness of about 3 mm using Atlas Brand rolling machine. The sheeted dough was cut into round shape using a 45 mm diameter cutter and baked on an aluminium tray in an electric oven at 180°C for 6 minutes. The biscuit was cooled for 30 minutes, packed in polyethylene bags under desiccation[20, 21].
2.2.4. Preparation of Different Blends of Biscuits
Blends of biscuits were prepared using wheat flour 72% extraction rate as control or those which substituted with 10% of Tangerine peel powder, 10% Abo-Sora orange peel powder, 10% Baladi orange peel powder, and 10% Baladi lemon peel powder.

3. Methods

3.1. Biological Experiment

3.1.1. Experimental Animals
Seventy adult male white albino rats (Sprague dawley strain) weighing between 100 and 120 grams were obtained from the animal house of the Faculty of Medicine, Assiut University. The animals were housed as groups in wire cages under the normal laboratory conditions and were fed on basal diets. The rats were fed for a week as adaptation period. Body weight was weighed weekly and at the end of the experimental feeding period.
3.1.2. Basal Diet Constituents
The basal diet used is outlined in Tables (2), (3), and (4).
Table (2). Constituents of the basal diet for 100 gm diet*
     
Table (3). Constituents of vitamins mixtures used in the basal diet*
     
3.1.3. Experimental Design
The rats were randomly divided into 6 groups of 10 rats each. Each rat was ranked on the tail to differentiate between animals. Daily administration was continued for (4) weeks. Group (1) received hyperlipidemic diet (table 4) plus 10% fortified biscuits with Baladi orange peels powder. Group (2) received hyperlipidemic diet plus 10% fortified biscuits with Abo-Sura orange peels powder. Group (3) received hyperlipidemic diets and served as positive control. Group (4) received hyperlipidemic diet plus 10% fortified biscuits with Tangerine peels powder. Group (5) received hyperlipidemic diet plus 10% fortified biscuits with Baladi lemon peels powder. Group (6) received hyperlipidemic diets plus 10% wheat flour 72% extraction biscuits. An extra 10 rats were fed the basal diet only as served as negative control.
Table (4). Constituents of the hyperloipidemic diet for 100g diet*
     
3.1.4. Blood Sampling
At the end of the experiment, rats were fasted overnight and anesthetized. Blood samples were collected from all animals from the retro-orbital plexus of each group into clean, dry and labeled tube. The tubes contained heparin (10.01 U/ml) as anticoagulant. Blood was centrifuged (3500 rpm for 15 min) to separate plasma which was tightly kept in sealed aliquot tubes at -20°C until biochemical assay was carried out.
3.1.5. Determination of Triglycerides
Fully enzymatic determination of total triglycerides in serum was estimated spectrphotometrically at 546 nm according to the method of Wahlefeld[25] of the enzymatic hydrolysis of triglycerides using kits followed by colorimetry determination of liberated glycerol.
3.1.6. Determination of Serum Total Cholesterol
Enzymatic determination of cholesterol in serum was carried out according to the method of Allian et al.[26] using Stanbio kits (Texas, USA).
3.1.7. Determination of High Density Lipoprotein (HDL) Cholesterol
The kits were provided from Stanbio (Texas, USA) and determination of HDL cholesterol was carried out according to Warnick et al.[27]. LDL cholesterol is precipitated from serum by magnesium chloride/dextrin sulfate reagent. HDL cholesterol is then determined in supernatant using cholesterol reagent.
3.1.8. Determination of Low Density Lipoprotein (LDL) Cholesterol
LDL cholesterol was calculated by difference between total cholesterol, HDL cholesterol and triglyceride according to Friedewald et al.[28].

3.2. Statistical Analysis

The data were analyzed statistically using SAS computing procedure. The least significant difference and correlation coefficient were calculated for all means using the procedure of[29].

4. Results and Discussion

4.1. Body Weight Gain

The results given in Table (5) revealed that the body gain was positive in all the six studied groups for the experimental rats (induced hyper-cholesterolemia).
The data showed that the mean values of the body weight gain in the six studied groups after 28 days feeding trial were: 171.33↑, 184.41↑, 169.70↑, 188.47↑, 190.89↑ and 183.56↑, while the control recorded 184.16↑. However, the highest weight gain among the six studied groups was recorded in group 2 (Hyperlipidemic diet + 10% fortified biscuits with Abo-Sora orange peels powder), group 4 (Hyperlipidemic diet + 10% fortified biscuits with Tangerine peels powder), and group 5 (Hyperlipidemic diet + 10% fortified biscuits with Baladi lemon peels powders). While, group 3 (Hyperlipidemic diet) recorded the highest decrement in body weight of the experimental rats by the end of the feeding time of experiment (169.70 g↑) compared with the mean body weight of the control (184.16 g↑).
Similar findings were reported by Thiel[5], Fraley[10], Amerman[13], Archibald[30], and Patil et al.[31].

4.2. Antihypercholesterolemic and Antihyperlipidemic Activity

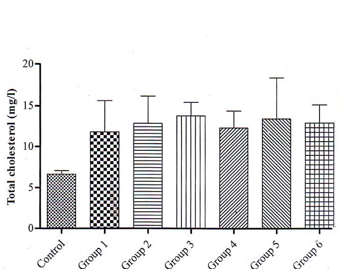
The results given in Tables (6), (7), (8), (9) and Figures (1), (2), (3), and (4) revealed the effect of the six studied groups on total cholesterol, HDL cholesterol, triglycerides, and LDL cholesterol in the experimental rats, with induced hypercholesterolemia. The data revealed that group 2 (HLD+10% FBASOPP) recorded the highest decrement in cholesterol level among all studied groups followed by group 6 (HLD+10% WFB) which amounted to 25.22%, and 13.775%, respectively. Meanwhile, group 1 (HLD+10% FBBOPP), group 4 (HLD+10% FBTPP), and group 5 (HLD+10% FBBLPP) increased cholesterol level to 1.190%, 15.890% and 51.041%, respectively. Such data are in good agreement with several author[9, 10, 11, 17, 31, 32, 33, 35, 36 and 37].
The data presented in table (7) clarified the effect of the six studied groups on HDL cholesterol content of the experimental rats (induced hyperlipidemia). The data revealed that 4 groups, namely: group 1 (HLD+10% FBBOPP), group 2 (HLD+10% FBASOPP), group 3 (HLD), and group 4 (HLD+10% FATPP) increased HDL cholesterol levels. However, group 2 and group 4 recorded the highest increment in HDL cholesterol levels accounting to 28.838%, and 55.114%, respectively in agreement with Price[12] findings,who reported that citrus peels increase HDL cholesterol levels in experimental animals.
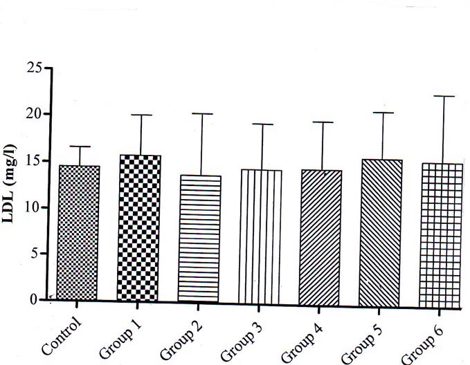
On the other hand, Table (8) outlined the effect of the six studied groups on triglycerides content of the experimental rats (induced hyperlipidemia). The data revealed that all the six studied groups reduced the triglycerides levels of the experimental rats. However, group 1, group 2, group 4, and group 5 recorded the highest decrement in triglycerides levels accounting to 52.602%, 49.936%, 40.034%, and 39.397%, respectively in agreement with Wolf[11], and Daniells[35] findings.who stated that citrus peels reduced triglycerides in experimental animals. Table (9) outlined the data of the effect of the six studied group on LDL cholesterol content of the experimental rats (induced hyperlipidemia). The data revealed that all the six studied groups reduced LDL cholesterol levels of the experimental rats. However, group 2, group 4, and group 6 recorded the highest decrement in LDL cholesterol levels accounting to 33.357%, 28.847%, and 35.817%, respectively in agreement with[1, 11, 12, 13, 14, 18, 32, 34, 36, and 37] findings.
Table (5). Effect of the six studied groups on the body weight (g) of the experimental rats (induced hyperlipidemia)
     
Table (6). Effect of the six studied groups on total cholesterol content of the experimental rats (induced hyperlipidemia)
     
Table (7). Effect of the six studied groups on HDL cholesterol content of the experimental rats (induced hyperlipidemia)
     
Table (8). Effect of the six studied groups on triglycerides content of the experimental rats (induced hyperlipidemia)
     
Table (9). Effect of the six studied groups on LDL cholesterol content of the experimental rats (induced hyperlipidemia)
     
Figure (1). Mean+SD of total cholesterol in different studied groups
Figure (2). Mean+SD of HDL in different studied groups
Figure (3). Mean+SD of triglyceride in different studied groups
Figure (4). Mean+SD of LDL in different studied groups
Table (10) outlined least significant difference test of total cholesterol of the experimental rats induced hyperlipidemia and correlation coefficient among the six studied groups. The data showed that the correlation coefficients between control (BD) and the six studied groups were high significant. This explains the high significant antihypercholesterolemic activity of feeding experimental rats with fortified biscuits with citrus peels powders. Such finding is in good agreement with[31, 32, 33, 35, 36, and 37] findings.
Table (11) outlined least significant difference test of HDL cholesterol of the experimental rats induced hyperlipidemia and correlation coefficient among the six studied groups. The data showed that the correlation coefficient between control (BD) and group (1) was not significant. Meanwhile, the correlation coefficients between control (BD) and the other five groups were high significant. This explains that feeding experimental rats with fortified biscuits with citrus peels powders showed that feeding experimental animals with fortified biscuits with citrus peels powders raised significantly HDL cholesterol in all six studied groups, except in group (5) and group (6). Such finding is in good accordance with Price[12] finding on the effect of orange rinds on HDL cholesterol, who stated that the high level of HDL cholesterol is beneficial because it can counteract a high level of LDL cholesterol.
Table (12) outlined least significant difference test of triglycerides of the experimental rats induced hyperlipidemia and correlation coefficient among the six studied groups. The data revealed that all the six studied group resulted in reducing triglycerides levels. The data showed that the correlation coefficient between group (1) and group (3) was significant in agreement with Wolf[11] and Daniells[36] findings.
Table (13) outlined least significant difference test of LDL cholesterol of the experimental rats induced hyperlipidemia and correlation coefficient among the six studied groups. The data revealed that all the six studied groups insignificantly reduced LDL cholesterol levels in agreement with[11, 12, 13, 14, 32, 34, 36, and 37] findings. The data showed that the correlation coefficient between the control (BD) and the six studied groups was not significant.
Table (10). Least significant difference test of cholesterol
     
Table (11). Least significant difference test of HDL
     
Table (12). Least significant difference test of triglycerides
     
Table (13). Least significant difference test of LDL
     
In conclusion fortified biscuits with citrus peels powders reduced the levels of serum cholesterol, triglycerides and LDL cholesterol, both of which are known to contribute to disorders such as diabetes, obesity and lowering risks of heart disease. The polymethoxylated flavones (PMF) in orange peels have cholesterol-lowering properties. Meanwhile, fortified biscuits with citrus peels powders raised HDL cholesterol level, which is beneficial because it can counteract the high level of the bad cholesterol (LDL cholesterol) than some prescription drugs without the risk of side effects. Oranges may be more effective at lowering cholesterol than other citrus fruits because they contain PMFs and another flavonoid, hesperidin, which also help to lower cholesterol.
Fortified biscuits with 10% Abo-Sora orange peels powders are recommended for caloric reduced diet for obese, overweight persons and diabetic persons.

References

[1]  Myers, C. (2011). A list of the benefits of orange peels. http://www.livestrong,com/article/440499-a-list-of-the-benefits-of-orange-peels/# ixzz21 fucoxHV.
[2]  Gonzalez-Molina, E., Dominguez-Peries, R., Moreno, C. and Garcia-Viguera, C. (2009). Natural bioactive compounds of citrus lemon for food and health. Elsevier, B.V., USA.
[3]  Manthey, A., and Grohmann, K. (2001). Phenols in citrus peel by-products. Concentrations of hydroxyl cinnamates and polymethoxylated flavons in citrus peel molasses. Journal of Agricultural and Food Chemistry, Vol. 49, No. 7, pp. 3268-3273.
[4]  Nogata, Y., Sakamoto, K., Shiratsuchi, H., Ishii, T., Yano, M. and Ohta, H. (2006). Flavonoid composition of fruit tissues of citrus species. Bioscience, Biotechnology and Biochemistry. Vol. 70, No. 1, pp. 178-192.
[5]  Thiel, S. (2011). The benefits of eating orange peel. http://www. livestrong.com/article/521033-the benefits-of eating orange peels/#ixzz21 fmbmknt.
[6]  Youssef, H.M.K.E., and Mousa, R.M.A. (2012). Nutritional assessment of wheat biscuits and fortified wheat biscuits with citrus peels powders. Food and Public health, 2 (1): 55-60.
[7]  Youssef, M.K.E. (2007). Foods that fight cancer. Proceedings of the sixth Conference of Woman and Scientific Research and Development in Upper Egypt. 17-19 April, p. 213-228. Assiut University, Egypt.
[8]  Boboroff, L.B. (2002). Nutrition for health and fitness: Fiber in your diet. Sheet FCB 9130. a series of the Department of Family. Youth and Community Sciences. Florida Cooperative Extensive Service. Institute of Food and Agricultural Sciences, University of Florida.
[9]  Marks, S. (2011). Nutrition information for dried orange peel. http://www.livestrong.com/article/373022-nutrition-informtion-for-dried-orange- peel/#ixzz 21 fm US MGD.
[10]  Fraley, A. (2010). Citrus peel benefits,http://www.livestrong.com/ article/155590-citrus-peel-benefits/#izz21 flxns7T.
[11]  Wolf, W. (2010). Health properties of orange peel. http://www.livestrong. com/article/346101-health-properties- of-orange-peel/#ixzz21 fqq8y MR.
[12]  Price, M.Z. (2011). Orange rinds and cholesterol. http://www.livestrong-com/article/520178-orange rinds-cholesterol/#ixzz 21 fV1VGOO.
[13]  Amerman, D. (2011). Benefits of citrus peel extract. http://www.livestrong.com/article/490637-benefits-of-citrus-peel-extract/#ixzz21fx NObow.
[14]  Braddock, N. (2010). Benefits of grapefruit.http://www.livestrong-com/article/86779-benefits grapefruit/#ixzz21g04 K5XT.
[15]  KGK (2004). Citrus peel shows cholesterol lowering qualities. Canadian Nutraceutical Company, Ottawa.
[16]  Heller, L. (2008). KDK takes back Sytrinol license from source One. Can.
[17]  Baker, R.A. (1994). Potential dietary benefits of citrus pectin and fiber. Food Technology, Vol. 48, No. 11, pp. 133-138.
[18]  Meyer, A.S., Donovan, J.L., Pearson, D.A., Waterhouse, A.L., and Frankel, E.N. (1998). Fruit hydroxycinnamic acids inhibit human low-density lipoprotein oxidation in vitro. J. of Agricultural and Food Chemistry. Vol. 46, No. 5, pp. 1783-1787.
[19]  Saba, N.H. (1997). Culinary is Science and Art. P. 685. Dar El-Maaref-Cairo (In Arabic).
[20]  Vetsala, C.N., and Haridas Rao, P. (1991). Studies on invert sugar for use in biscuits. Food Sci. & Techn. 28: 149-152.
[21]  Manohar, R.S. and Rao, P.H. (1997). Effect of mixing period and additives on the rheological characteristics of dough and quality of biscuit. J. of Cereal Sci., 25: 197-206.
[22]  El-Sayed, H.H.M. (2001). Biological studies on effect of Portulaca deracea L. on lowering lipids and blood sugar in experimental animals. Ph.D. Thesis, Faculty of Home Economics, Minufiya University, Minufiya.
[23]  Ilwy, Y.M.E. (2003). The effect of some kinds of sea food (fish) on blood lipid profile in rats. Ph.D. Thesis, Faculty of Specific Education, Ain Shams University.
[24]  Anon. (1980). Second Report of the American Institute of Nutrition. J. Nutrition: 110: No. 8, 1726.
[25]  Wahlefeld, A.W. (1974). In Methods of Enzymatic Analysis. HU Bergmeyer, Ed Academic Press, New York, 5, 1831-1835.
[26]  Allian, C.C., Poon, L.S., Chan, C.S.G. and Richmond, W. (1974). Enzymatic colourimetric method of the determination of plasma total cholesterol. Clin. Chem. 20, 470.
[27]  Warnick, G.R., Benderson, V. and Albers, N. (1983). Selected Methods. Clin. Chem. 10, 91-99.
[28]  Friedewald, W.T., Levy, R.I. and Fredrickson, D.S. (1972). Determination of high density lipoprotein cholesterol by selective precipitation. Clin. Chem. 18, 499-502.
[29]  SAS Institute (1990). SAS Users Guide in Statistics, Cary, NC, SAS Institute, USA.
[30]  Archibald, A. (2005). The definitive dietary fiber. Prepared Foods. March 2005, USA.
[31]  Patil, B., Jayaprakasha, G.K., and Harris, E.D. (2010). Impact of citrus limonoids of human health. Natural Bioactive Compounds on human health. Vol. 51, Issue 2, 327-345.
[32]  Shifko, R. (2010). Pink grapefruit health benefits. http://www. livestrong.com/article/277337-pink-grapefruit-health-benefits/#ixzz21gOj 5dvz.
[33]  Marty, E. (2011). Do red and pink grapefruit reduce cholesterol.http://www.livestrong.com/article/392366-do-red-and-pink-grapefruit- reduce-cholesterol/#ixzzy 21g 1Ti2pz.
[34]  Gamonski, W. (2011). The effects of grapefruit or serum cholesterol. http: //www.livestrong.com/article/349603-the- effects-of-grapefruit-on-serum-cholesterol/#ixzz21g 273283.
[35]  Horner, M. (2010). Grapefruit powder benefits, http://www. livestrong.com/article/243055-grapefruit-powder-benefits/#ixzz21g2heiYO.
[36]  Daniells, S. (2006). Citrus peel extract shows benefits for diabetes. ISRN Endocrinology, Vol. 2011, Article ID869273.
[37]  Rosa, J., Xian-Liu, Z., and Guthrie, N. (2012). Effect of citrus flavonoids and tocotrienols on serum cholesterol levels in hypercholesterolemic subjects. Alternative Therapies in Health and Medicine. Vol. 13, No. 6.