Applied Mathematics
p-ISSN: 2163-1409 e-ISSN: 2163-1425
2018; 8(1): 9-18
doi:10.5923/j.am.20180801.03

Timothy Sands1, Jae Jun Kim2, Brij Agrawal2
1Department of Mechanical Engineering, Stanford University, Stanford, USA
2Department Mechanical and Aerospace Engineering, Naval Postgraduate School, Monterey, USA
Correspondence to: Timothy Sands, Department of Mechanical Engineering, Stanford University, Stanford, USA.
| Email: | ![]() |
Copyright © 2018 Scientific & Academic Publishing. All Rights Reserved.
This work is licensed under the Creative Commons Attribution International License (CC BY).
http://creativecommons.org/licenses/by/4.0/

This manuscript reveals both the full experimental and methodical details of a most-recent patent that demonstrates a much-desired goal of rotational attitude control actuators, namely extremely high torque without mathematical singularity and accompanying loss of attitude control. The paper briefly reviews the most recent literature, and then gives theoretical development for implementing the methods described in the patent to compute a non-singular steering command to the actuators. The theoretical developments are followed by computer simulations used to verify the theoretical computation methodology, and then laboratory experiments are used for validation on a free-floating hardware simulator.
Keywords: Rotational attitude control, Momentum actuator, Singularity penetration: SPUD
Cite this paper: Timothy Sands, Jae Jun Kim, Brij Agrawal, Singularity Penetration with Unit Delay (SPUD), Applied Mathematics, Vol. 8 No. 1, 2018, pp. 9-18. doi: 10.5923/j.am.20180801.03.
with respect to the xy plane
The [A] matrix (containing gimbal angles,
and skew angles,
) must be inverted to find the required CMG gimbal command
for commanded output torque per equation (4). Begin by writing equations for each momentum vector in xyz
coordinates for 3 CMGs normalized by 1H, one CMG’s worth of momentum.![]() | (1) |
![]() | (2) |
causing an equal and opposite change in momentum on the system. For n CMGs, the general relation is:![]() | (3) |
![]() | (4) |
![]() | (5) |
![]() | Figure 1. ITERATION: Optimum singularity-free CMG skew angle, β |

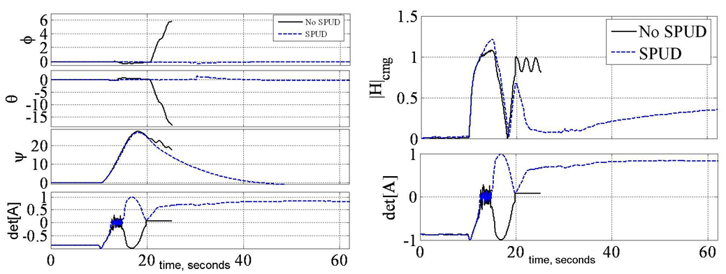
By using mixed skew angles, the singularity-free “football” shaped space can be reoriented to place the maximum momentum direction in the yaw direction. Six possible momentum reorientations are possible by laying down momentum planes from ninety degrees to zero degrees as listed in Figure 3 resulting in rotations of the momentum space depicted respectively in the following order per Figure 4. Simulation and experimental verification of the optimum singularity-free skew angle and mixed skew angle momentum space rotations may be found in ref [40-43]. ![]() | Figure 3. Six possible combinations of mixed skew angles laying one or two momentum cutting planes from 0° to 90°. Corresponding singular hypersurfaces are depicted in respective order in Fig. 5 |
![]() | Figure 4. Singular hypersurfaces resulting from 6 possible combinations of mixed skew angles. Singular surfaces from upper left correspond to sequence of mixed skew angles per Fig. 4 |
Substituting the [A] matrix with
into equation (4) yields: ![]() | (6) |
![]() | (7) |
![]() | (8) |
momentum-change equation has become decoupled from the
equations. Pitch momentum is determined completely by gimbal #2. The pitch equation may be separated from the matrix system of equations. The benefit is the elimination of singular gimbal commands for CMGs that are not in geometrically singular gimbal angle positions. Consider what happens if the first and third CMGs enter a singular angle combination that satisfies
This would not result in singular commands to CMG 2. CMG gimbal 2 would receive the following normal steering command: ![]() | (9) |
![]() | Figure 8. SIMULATION: Comparison of gimbal angles for 50° yaw maneuver with & without singularity penetration with unit delay (SPUD) |