Applied Mathematics
p-ISSN: 2163-1409 e-ISSN: 2163-1425
2015; 5(6): 101-110
doi:10.5923/j.am.20150506.01

Joram Aminiel1, Damian Kajunguri1, Emmanuel A. Mpolya2
1Department of Applied Mathematics and Computational Science, Nelson Mandela African Institution of Science and Technology, Arusha, Tanzania
2Department of Life Science and BioEngineering, Nelson Mandela African Institution of Science and Technology, Arusha, Tanzania
Correspondence to: Joram Aminiel, Department of Applied Mathematics and Computational Science, Nelson Mandela African Institution of Science and Technology, Arusha, Tanzania.
| Email: | ![]() |
Copyright © 2015 Scientific & Academic Publishing. All Rights Reserved.
This work is licensed under the Creative Commons Attribution International License (CC BY).
http://creativecommons.org/licenses/by/4.0/

In this paper, we examine the importance of spreading awareness information about infant vaccination in a population. A mathematical model for the spread of infant vaccination awareness information is proposed and analyzed quantitatively using the stability theory of the differential equations. The basic reproduction number
is obtained and its sensitivity analysis is carried out. The awareness free equilibrium is also proved to be locally and globally stable. Consideration is taken when
is greater than unity, which indicates that infant vaccination awareness information will invade the population and cause immunization to succeed. It is also proved that the maximum awareness equilibrium is locally stable if
is greater than unity. Numerical results show that word-of-mouth has a more impact on infant vaccination as compared to mass media, but better results are obtained by a combination of both word-of-mouth and mass media. For a successful infant vaccination programme, there is a need to emphasize both forms of awarenes.
Keywords: Awareness information, Infant vaccination
Cite this paper: Joram Aminiel, Damian Kajunguri, Emmanuel A. Mpolya, Mathematical Modeling on the Spread of Awareness Information to Infant Vaccination, Applied Mathematics, Vol. 5 No. 6, 2015, pp. 101-110. doi: 10.5923/j.am.20150506.01.
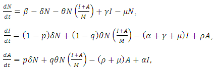
, for the number of individuals who are not aware with infant vaccination (N) which is through birth and immigration. A proportion p of unaware individuals in class N is assumed to become aware and adopt infant vaccination and progress to class A through mass media at a rate
and the remaining proportion become aware but do not adopt and progresses to class I at the same rate. A proportion q in class N is assumed to progress to class A through the word-of-mouth at a rate
and the remaining proportion progresses to class I at the same rate. Individuals in class I can progress to the adopters class, A at a rate
. Adopters can discontinue from the infant awareness vaccination class, A and move to class I at a rate
. Individuals in the unadopters class, I forget the information and return to the class N at a rate
. A schematic representation of the model for the spread of infant vaccination awareness information is shown in Figure 1.![]() | Figure 1. Compartmental diagram for the infant vaccination awareness information in a population |
|
![]() | (1) |
All variables and parameters in the model (1) are considered to be positive, and the model lies in the region 
with the initial conditions
are positively invariant for system (1).Proof. Adding the system of three equations of (1), we have![]() | (2) |
as an integrating factor we obtain
where
is a constant of integration. As
It implies that the region
, is a positively invariant set for (1). So we consider dynamics of system (1) on the set Ω in this paper.
. It is necessary to prove that all the state variables are nonnegative, so we have the following lemma.Lemma 2. If
, then the solutions
of system (1) are positive for all
.Proof. Under the given initial conditions, it is easy to prove that the solutions of system (1) are positive; if not, we assume a contradiction that there exists a first time
such that
From the first equation of system (1), we have
which is a contradiction meaning that 
Similarly, it can be shown that the variables
remain positive for all
. Thus, the solutions
of the system (1) remain positive for all
.
.Considering system (1), when there is no awareness, then
Then the awareness free equilibrium point E0, is given by![]() | (3) |
, as the average number of secondary infections caused by an infectious individual during the entire period of infectiousness. In this study, a secondary infection will be treated as a secondary awareness acquired by an individual during the period of getting vaccination awareness information. The basic reproduction number will be an important quantity in this study as it sets the threshold in the study of awareness information on infant vaccination for predicting the increase or decrease of number of awared people. Thus, whether the number of awared people increase or decrease in a population depends on the value of the reproduction number. For this study, if
, it means that every awared individual on infant vaccination will cause less than one secondary awared individual which cause the decrease of the number of awared people; but when
, every awared individual will cause more than one secondary awared individuals and hence the awareness information on infant vaccination will invade the population. For this study, a large number of
may indicate the possibility of having more awared people about infant vaccination. We use the method presented in [17] to derive the expression for the basic reproduction number,
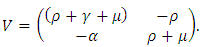
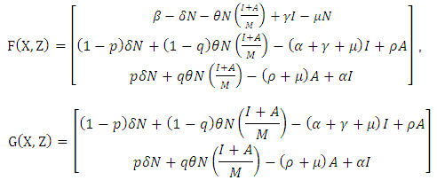
. Let
be the rate of appearance of new awareness information in compartment i. The information transmission model consists of the equations,
, where
. We then compute the matrices F and V which are
matrices, where m represent the awareness classes, defined by
and
with
is nonnegative and V is non-singular m- matrix. We then compute
, defined as the next generation matrix. The basic reproduction number,
is then defined by
, where
is the spectral radius of matrix B, (or the maximum modulus of the eigenvalues of B).From system (1) we define
as
The awareness compartments are I and A, giving
Differentiating
with respect to I and A gives
and
The eigenvalue of equation
can be computed by the characteristic equation:
. This gives the basic reproduction number,
where 
Note:
does not depends on awareness rate through media,
.
. Sensitivity indices allow us to measure the relative change in a state variable when a parameter changes. The normalized forward sensitivity index of a variable to a parameter is the ratio of the relative change in the variable to the relative change in the parameter. When the variable is a differentiable function of the parameter, the sensitivity index may be alternatively defined using partial derivatives.The normalized forward sensitivity index
, of a variable, u, that depends differentiably on a parameter, p, is defined as:
As we have an expression for
, we derive an analytical expressions for the sensitivity index to
for each of the six different parameters described in Table 1 that appears in
. For example; using the set of values of estimated parameters in Table 3, the sensitivity indices for
with respect to
and
are given by
and
respectively. Other indices
are obtained following the same method and are shown in table 2.
|
increase the value of
as they have positive indices, implying that they maximize the awareness on infant vaccination. The parameters
decrease the value of
implying that they minimize the awareness on vaccination as they have negative indices. But individually, the most sensitive parameter is the rate of un-adoptor to adoptors class
, and the least sensitive parameter is the motality rate
.
of the model system (1) is obtained as ![]() | (4) |
in which for local stability of awareness free equilibrium we seek for all its eigenvalues to have negative real parts. The characteristic function of the matrix (4) with
being the eigenvalues of
, is obtained and by using mathematica software, we have the following eigenvalues;
where
Considering real parts;
The awareness free equilibrium of system (1) is l.a.s given that
. Thus for
the awareness free equilibrium point is locally asymptotically stable.
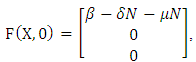
where
denotes (its components) the number of unawared individuals and
denote (its components) the number of individuals who have vaccine awareness information. The awareness free equilibrium is now denoted by E0 = (X0,0). The following conditions, (H1) and (H2) must be met to guarantee a local asymptotic stability:(H1) For
then
is globally asymptotically stable (g.a.s),(H2)
where
for
where
is an M –matrix (the off- diagonal elements of
are non-negative) and Ω is the region where the model makes sence. Then the following lemma holds:Lemma 1.The fixed point E0 = (X0, 0), is globally asymptotic stable (g.a.s) equilibrium of system (1) provided
is (l.a.s) and that the assumptions (H1) and (H2) are satisfied.Proof:Consider (H1). Considering the model system (1), we have
Then
Now,
It is clear that
is a g.a.s of
. Hence condition (H1) is satisfied.Now consider (H2).
Since
, it is clear that
.Then we have
and
Then on substituting the above values we have
Hence (H2) satisfied.Then
is globally asymptotic stable to our model system (1).Existence of Maximum Awareeness Equilibrium
.The maximum awareness equilibrium of the system (1) is given by
and it is obtained by setting the right hand side of equations equal to zero. In this paper, maximum awareness equilibrium works as for endemic equilibrium in disease model.![]() | (5) |
the conditions
or
, must be satisfied. It was not possible to get analytical solutions of system (5), so we resort to simulations to obtain insight in the dynamics of the model. 
, then the equation model (5) has a unique maximum awareness equilibrium given by
in Ω, with

where 
Local stability of the maximum awareness equilibrium is determined by the variational matrix
of the nonlinear system ![]() | (6) |
be the variational matrix corresponding to
. If
are all negative, then all eigenvalues of
have negative real parts.Using the above lemma, we will study the stability of the maximum awareness equilibrium.Theorem 2: If
, the maximum awareness equilibrium
of the model (6) is locally asymptotically stable in Ω.Proof:From jacobian matrix
in (6), we have
Det


where 
Hence the trace and determinant of the Jacobian matrix
are all negative.The second additive compound matrix is obtained from the following lemma.Lemma 2: Let P and Q be subset of {1,2,3}. The (P,Q) entry of
is the coefficient of Cin the expansion of the determinant of the sub matrix of
+CI indexed by row in P and column in Q.Proof:The sub matrix of
is given as
The sub matrix of
indexed by rows and columns is given by
The coefficient of C in the determinant of this matrix is
and thus the (1,1) entry of
is
Other entries were obtained by the same method and the following
was obtained as




Where
Therefor
Thus, acording to lemma 1, the maximum awareness equilibrium
of the model system (1) is locally asymptotically stable in Ω.
|
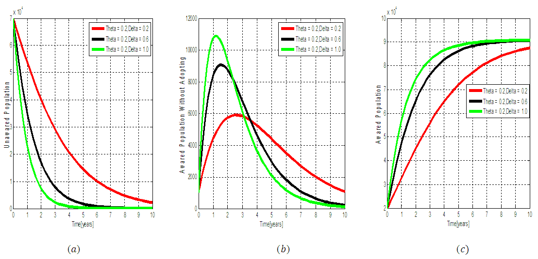
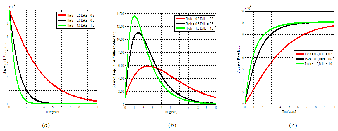
![]() | Figure 5. Dynamic of the model system |
. For this study, we found out that if
, every awared individual on vaccination will cause less than one secondary awared individual and hence cause the number of people who are awared on infant vaccination to decrease, and when
, every awared individual on vaccination will cause more than one secondary awared individual and hence the awareness information on vaccination will invade the population. In this study, we were interested with large number of
, i.e
.We found that the maximum awareness equilibrium exists and it is locally and asymptotically stable. We performed sensitivity analysis on the basic reproduction number from which we noted that the parameter
(awareness rate through word-of-mouth), is the most sensitive index on maximizing the infant vaccination awareness to the population due to its big positive value. From numerical simulations we observed that both awareness information through word-of-mouth and mass media are important in reducing unawared people and increase awared people for beter succesion of infant vaccination.