Applied Mathematics
p-ISSN: 2163-1409 e-ISSN: 2163-1425
2013; 3(2): 56-60
doi:10.5923/j.am.20130302.04
Mustafa Avci
Department of Mathematics, Dicle University, 21280-Diyarbakir, Turkey
Correspondence to: Mustafa Avci, Department of Mathematics, Dicle University, 21280-Diyarbakir, Turkey.
| Email: | ![]() |
Copyright © 2012 Scientific & Academic Publishing. All Rights Reserved.
The present paper deals with a Kirchhoff problem under homogeneous Dirichlet boundary conditions, set in a bounded smooth domain Ω of ℝ^{N}. The problem studied is a stationary version of the original Kirchhoff equation, involving the p(x)-Laplacian operator, in the framework of the variable exponent Lebesgue and Sobolev spaces. The question of the existence of weak solutions is treated. Applying the Mountain Pass Theorem of Ambrosetti and Rabinowitz, the existence of a nontrivial weak solution is obtained in the variable exponent Sobolev space W₀^{1,p(x)}(Ω).
Keywords: Variational Method, p(x)-Laplacian, Nonlocal Problem, Mountain-Pass Theorem, Ambrosetti-Rabinowitz’s Condition, Palais-Smale Condition
Cite this paper: Mustafa Avci, Solutions of a Nonlocal Elliptic Problem Involving p(x)-Kirchhoff-type Equation, Applied Mathematics, Vol. 3 No. 2, 2013, pp. 56-60. doi: 10.5923/j.am.20130302.04.
![]() | (P) |
Where
is a smooth bounded domain,
with
for any
is a continuous function and
is a Carathéodory function.Problem (P) is related to the stationary version of a model, the so-called Kirchhoff equation, introduced by[12]. To be more precise, Kirchhoff established a model given by the equation
where
are constants which extends the classical D'Alambert's wave equation, by considering the effects of the changes in the length of the strings during the vibrations. There are papers[4,11,14] in which the authors give the existence of solutions of Kirchhoff-type and p-Kirchhoff-type equations. Moreover, for p(x)-Kirchhoff-type equations see, for example,[2,5-7].The p(x)-Laplace operator
is a natural generalization of the p-Laplacian operator
where
is a real constant. The main difference between them is that p-Laplacian operator is (p-1)-homogenous, but the p(x)-Laplacian operator, when p(x) is not constant, is not homogeneous. This causes many problems, some classical theories and methods, such as the Lagrange multiplier theorem and the theory of Sobolev spaces, are not applicable. For p(x)- Laplacian operator, we refer the readers to[9,10,15,16] and references there in. Moreover, the nonlinear problems involving the p(x)-Laplacian operator are extremely attractive because they can be used to model dynamical phenomenons which arise from the study of electrorheological fluids or elastic mechanics. Problems with variable exponent growth conditions also appear in the modelling of stationary thermo-rheological viscous flows of non-Newtonian fluids and in the mathematical description of the processes filtration of an ideal barotropic gas through a porous medium. The detailed application backgrounds of the p(x)-Laplacian can be found in[1,3,17,19] and the references there in.
and
(for details, see e.g.,[8,14]).Set
For any
, denote
and define the variable exponent Lebesgue space by
We define a norm, the so-called Luxemburg norm, on
by the formula
and then
becomes a Banach space.Define the variable exponent Sobolev space by
then it can be equipped with the norm
The space
is defined as the closure of
with respect to the norm
. For
, we can define an equivalent norm
since the well-known Poincaré inequality holds.




We say that
is a weak solution of (P) if
where
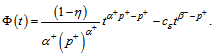
We associate to the problem (P) the energy functional, defined as 
where
and
. We know that from (m0) and (f0) (see Section 3)
is well defined and in a standard way we can prove that
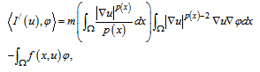
and that the critical points of I are solutions of (P). Moreover, the derivative of
is given by
for all 
The proof of Theorem 7 follows from the following two Lemmas.
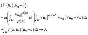
Proof. Let us assume that there exists a sequence
such that
Therefore,
Therefore,
is bounded in
. From this bound estimate, going to a subsequence if necessary, there exists a
in
such that
. Thanks to the compact embedding
, we get
Since,
, we have
From (f0) and Proposition 1, it follows
By the embeddings, we get
Hence,
From (m0), it follows ![]() | (3.1) |
, we get 
satisfies (PS) condition.
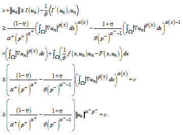
Proof. (i) Let us assume
. Then by (m0), we have
By the continuous embeddings 
![]() | (3.2) |
Therefore,
Let us define the function
Since
it is clear that there exists a
such that
. Hence, for a fixed
small enough, there exist two positive real numbers
and
such that
(ii) From (AR), we have
Hence, for
and
we have
From (AR), it can be obtained that
. Therefore,
Proof of Theorem 7. From Lemma 8, Lemma 9 and the fact that
,
satisfies the Mountain Pass theorem (see e.g.,[18]). Therefore,
has at least one nontrivial critical point, i.e., (P) has a nontrivial weak solution. We are done.