Michael Doschoris
Division of Applied Mathematics, Department of Chemical Engineering, University of Patras, GR-26504, Greece
Correspondence to: Michael Doschoris, Division of Applied Mathematics, Department of Chemical Engineering, University of Patras, GR-26504, Greece.
| Email: |  |
Copyright © 2012 Scientific & Academic Publishing. All Rights Reserved.
Abstract
It is generally recognized that the method of separation of variables is one of the most universal and powerful technique for the study of linear PDE's. Although the technique can be applied in its traditional form to any linear PDE as long as mixed derivatives are absent, it is a common belief that in their presence, variables separation is not realizable. In what follows, a modified and simpler procedure of the corresponding generalized version of the mentioned method is presented. The effectiveness of the introduced approach, capable to explicitly solve linear higher-order PDE's incorporating mixed derivatives, is shown providing closed form solutions for, e.g. the -metaharmonic equation, as well as a particular case of the infinity Laplace equation.
Keywords:
Generalized Separation of Variables, Polyharmonic Functions, Anisotropic -Metaharmonic Equation, Infinity Laplace Equation
Cite this paper: Michael Doschoris, On Solutions For Higher-Order Partial Differential Equations, Applied Mathematics, Vol. 3 No. 2, 2013, pp. 50-55. doi: 10.5923/j.am.20130302.03.
1. Introduction
In the early 1950's, M.H. Martin[1] noted that the identity
which is obtained if the method of separation of variables is applied to Laplace's equation, is actually a special case of the two-term identity | (1) |
His observation constituted a turning point for the classical method of reduction, opening the way to what nowadays is known as methods of generalized and functional separation of variables. Consider a PDE of the form | (2) |
wheredenotes either a linear or nonlinear partial differential operator and is the unknown. Whereas the method of generalized separation of variables seeks solutions of the form  | (3) |
with and , functional variables separation on the other hand, investigates solutions in the general form | (4) |
The latter formula, although obtained from a separable linear PDE via a nonlinear transformation, provides exact solutions to a large class of nonlinear equations as well. Substituting (3) into (2) furnishes the -term identity  | (5) |
which after several differentiations provides a separable two-term equation of the form (1). The ordinary differential equations obtained in this way have to be solved and their general solutions are then substituted into the original PDE (2). The next step requires to manage all possible cases in order to evaluate the arbitrary constants introduced via the aforementioned general solutions and to derive
. This, however, depending on the order of the original PDE turns out to be a demanding task. Another disadvantage of the briefly described method of differentiation consists in the introduction of further unnecessary constants, which have to be eliminated at the final stage. Moreover, differentiating the m-term identity (5) until deriving the required separable two-term equation, leads to a system of ODE's of higher-order then the original PDE. An analytic presentation of these methods is provided in[2].In the present article, employing ideas from generalized variables separation, a modified and simpler technique is proposed, leading to exact solutions for higher-order linear PDE's which incorporate mixed derivatives. Although the proposed method applies to linear PDE's with constant coefficients in general, we concentrate our efforts to the important cases of the n-harmonic equation
the solutions to which are known as polyharmonic functions. Polyharmonic functions play an every growing crucial role in modern applications. There exist a plethora of examples in a rapidly growing literature. Polyharmonic functions are employed to analyze images, owing to the fact that under certain conditions it is possible to reconstruct them as curved surfaces[3] assisting among others, forensic scientist in the investigation of crimes. Polyharmonic functions are further used as building blocks for the so-called polysplines, leading to the notion of polyharmonic wavelet analysis[4]. On the other hand, a conceptually different implementation of linear PDE's to the customary techniques (e.g. splines) has been utilized in the design of shapes, or more generally, in the representation of solid objects[5,6]. These higher-order PDE's are invoked in order to create, represent and manipulate surface/solid models in a Computer-aided design environment and are of fundamental importance in the engineering (analysis and simulation) and medical sector (visualization of body tissues, simulation of surgical operations).
2. The Technique of Variables Separation Revisited
In order to avoid technicalities, the presentation will be confined to the two dimensional
-harmonic equation in Cartesian coordinates | (6) |
where the n-Laplacian
is defined iteratively for every
and
.A particular solution to (6) is obtained utilizing the so-called Almansi formula[7] | (7) |
where
is the L2 norm, representing a n-harmonic function
in terms of n harmonic functions .Introducing into (6) a separable solution of the form
where the functions
and corresponding derivatives are continuous and not identically zero, yields | (8) |
where
denotes the derivative of order p with respect to the variable
.The introduced generalized separation of variables technique is based on five steps, the first three are given bellow:(1) Detach the highest-order derivatives from (8) by extracting the first and last term of the expansion; (2) Transform the extracted terms to a function of a single variable by dividing throughout the product of lowest derivatives present; (3) Eliminate these single variable functions by differentiating with respect to both variables.Utilizing above algorithm once, above equation furnishes | (9) |
After k successive iterations of steps (1)-(3) equation (8) reads | (10) |
where | (11) |
for every
.Depending on the parity of n, certain terms of (10) vanish, yielding either an extremely complex two-term relation of the form | (12) |
if is odd, or an equally complex relation of the form  | (13) |
if
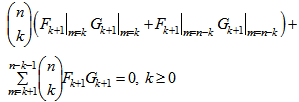
is even.However, this entanglement can be avoided noting that (9) holds true if the expansion is set equal to zero. Repeating the aforementioned steps k successive times on the resulting equation gives | (14) |
It is straightforwardly observed that the sum present in Eq. (14) vanishes if
represents odd numbers, whereas only the (k+1)th term survives if n equals even numbers.
2.1. Case of odd n
If n represents an odd number, (14) simplifies as | (15) |
providing the following two ordinary differential equations | (16) |
 | (17) |
where
is the separation constant.The remaining two steps provide the means to evaluate the unknown function
. (4) Choose the appropriate solutions from (16) or (17), respectively, in order for the ratio
respectively) to be independent of the variable
(or
respectively). (5) Substitute each suitable solution into the initial equation (6), evaluate the corresponding
solutions, which, coupled with the solutions of step 4 form the solutions
.
2.2. Case of even n
If n is even, (14) simplifies as | (18) |
which holds if  | (19) |
 | (20) |
where
separation constants. Applying the last two steps of the procedure provides the solution to (6). In the global coordinate system the evaluation of solutions to (6) with
although tedious, is straightforward. However, this is quite not the case in local coordinate systems where great care must be shown. Let us elucidate the introduced technique by evaluating solutions to the
-harmonic equation for
in polar coordinates. More demanding systems will be presented in subsequent papers.
3. The 3-Harmonic (Triharmonic) Equation
In the polar coordinate system, the 3-harmonic equation, after lengthy manipulations and by introducing a separable solution of the form
, reads | (21) |
Differentiating the latter with respect to both variables eliminates terms which depend solely on a single variable, yielding | (22) |
where | (23) |
and  | (24) |
The following situations are distinguished. In the case where
vanishes, (22) holds if
equals a constant and
or vice versa. The emerging ordinary differential equations are easily solved, providing the sets
where
is the separation constant.On the assumption that
, equation (22) furnishes the ODE's  | (25) |
and  | (26) |
Above differential equations accept
respectively, as solutions, where we modified the arbitrary complex separation constant
to simplify calculations.Reproducing steps (4) and (5), furnishes (omitting non-essential multipliers) | (27) |
4. The 4- and Higher-Order Harmonic Equations
Employing the separation ansatz introduced, the 4-harmonic equation reduces to the system of ODE’s | (28) |
 | (29) |
accepting the solutions
and
, respectively. Putting each of above expressions into the 4-harmonic equation results in an ordinary differential equation which is straightforwardly solved. Finally, the unknown solution is then expressed as | (30) |
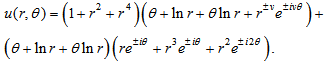
As the order of the n-Laplacian rises, the calculations, leading to
become rather tedious. For instance, whereas the 4-harmonic equation is formed by 24 terms, the corresponding equation for n=10 involves 120 terms! Nonetheless, their solution will be similar to (30) which leads us to the following theorem.Theorem Let
be a n-harmonic function regular in a domain
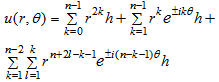
. Then, | (31) |
is a solution of the n-harmonic equation (6) expressed in polar coordinates. h is any linear combination of harmonic functions
. Proof If h is harmonic, then for any number m we have
. Noting that
and
are harmonic as well and utilizing the identity  | (32) |
repeated application of the Laplacian gives
where H is also harmonic. Therefore,
is a solution of the n-harmonic equation only if
. Superposition all solutions yields the desired result. Similar, for the second expansion, a repeated application of the Laplacian, furnishes | (33) |
Thus, the functions
are n-harmonic for every
. Above relation is obtained in view (32), observing that the product of any two harmonic functions f and g is also harmonic only if
The validation of the third expansion follows analogous steps. Although (31) is not original and can be found in many sources (see the excellent survey on polyanalytic functions by Balk and Zuev[8]), the proof appended is easy to follow and simpler. However, reference to the literature suggests that this relation is not well-known amongst Applied Mathematicians as well as Engineers.
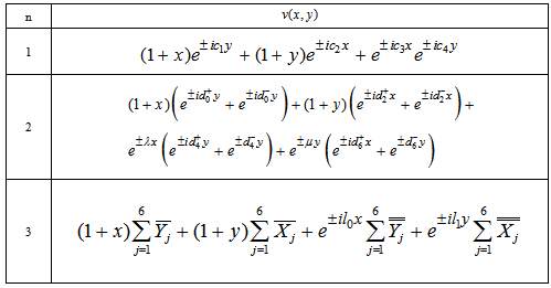
5. The n-Metaharmonic Equation and the Infinity Laplace Equation
It is straightforward to expand the results obtained so far to the anisotropic n-metaharmonic equation  | (34) |
where
Note, that the n-metaharmonic equation is closely related to the equation
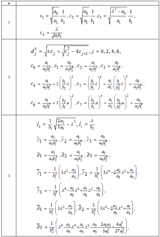
Utilizing the generalized version of variables separation introduced, solutions to equation (34) can be straightforwardly computed. Table 1 summarizes the solutions for n up to three, whereas Table 2 provides the necessary coefficients.The functions
satisfy the following differential equations | (35) |
 | (36) |
and corresponding “
”. The solutions for the isotropic case follow replacing
. It must be noted, that the non-iterative character of the n-metaharmonic equation does not allow a representation similar to (31).We further illustrate the versatile of the proposed method by providing explicit solutions to the equation  | (37) |
where
is the infinity Laplacian defined asTable 1. Solutions for equation (34) in the case where n=1,2,3  |
| |
|
Table 2. Coefficients for Table 1  |
| |
|
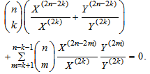
 | (38) |
derived as the limit of the Euler-Lagrange equation (see for details and applications[9] and references therein). Equation (38) expressed in two dimensions and after simple algebra transforms into  | (39) |
where we replaced u by XY and divided the result throughout X3Y3. Mimicking the calculations so far, viz differentiating above relation with respect to both variables, results in the first order ODE
. Substituting the solution of the latter back into (39) furnishes the non-linear ODE | (40) |
Equation (40) accepts elementary solutions of the form
A more involved solution however, can be obtained by noting that (40) is autonomous, i.e. reduces order as | (41) |
6. Conclusions
A modified version of the generalized variables separation method is introduced. The presented technique avoids the demanding task of evaluating superfluous constants providing all solutions in a simpler fashion. Further, the introduced methodology decomposes higher-order linear PDE’s which include mixed derivatives, into a set of easily to handle ODE's which are of the same or lesser order then the original PDE, providing solutions in closed form, a task widely accepted to be not possible. Although presented for economy in two dimensions in the global coordinate system, the expansion of the proposed method to N variables is straightforward. On the other hand, in the polar coordinate system, the proposed methodology leads to new special functions [10].
References
| [1] | M. H. Martin, A Generalization of the Method of Separation of Variables, Indiana Univ Math J, 2, 315-327, 1953. |
| [2] | A. D. Polyanin, Handbook of Nonlinear Partial Differential Equations, 1st Edition, Chapman and Hall/CRC, New York, 2003. |
| [3] | T. Kobayashi, N. Kawashima and Y. Ochiai, Image processing by interpolation using polyharmonic function and increase in processing speed, IEEJ Transactions on Electrical and Electronic Engineering, 6(S1), S1-S6, 2011. |
| [4] | O. Kounchev, Multivariate Polysplines: Applications to Numerical and Wavelet Analysis, Academic Press, London, UK, 2001. |
| [5] | H. Ugail, Partial Differential Equations for Geometric Design, Springer Verlag, London, UK, 2011. |
| [6] | L. H. You, J. Changa, X. S. Yanga J. J. and Zhanga, Solid modelling based on sixth order partial differential equations, Computer-Aided Design, 43(6), 720-729, 2011. |
| [7] | D. E. Almansi, Sull' integrazione dell' Equazione differenziale , Ann. di Mat. 3(2), 1-51, 1899. |
| [8] | M. B. Balk and M. F. Zuev, On polyanalytic functions, Russ Math Surv, 25, 201-223, 1970. |
| [9] | E. N. Barron, L. C. Evans and R. Jensen, The infinity Laplacian, Aronsson's equation and their generalizations, Trans. Amer. Math. Soc., 360, 77-101, 2008. |
| [10] | M. Doschoris, Towards a generalization of the separation of variables technique, MAA, accepted. |