American Journal of Operational Research

p-ISSN: 2324-6537    e-ISSN: 2324-6545

2026;  16(1): 1-11

doi:10.5923/j.ajor.20261601.01

Received: Feb. 9, 2026; Accepted: Mar. 2, 2026; Published: Mar. 16, 2026

 

An Inventory Control System for Decaying Products with Preservation Technology, Price, and Production-Reliant Demand

Sushil Kumar, Manish Kumar, Shivani Singh

Department of Mathematics and Astronomy, University of Lucknow, U.P., India

Correspondence to: Sushil Kumar, Department of Mathematics and Astronomy, University of Lucknow, U.P., India.

Email:

Copyright © 2026 The Author(s). Published by Scientific & Academic Publishing.

This work is licensed under the Creative Commons Attribution International License (CC BY).
http://creativecommons.org/licenses/by/4.0/

Abstract

In real-world inventory control systems, the deterioration of products is a significant issue. The deterioration can be reduced with the help of preservation technology. This paper proposes an inventory control system for decaying products incorporating preservation technology, price, and production-reliant demand. The price and production are key factors that affect the demand. The product price also plays a pivotal role in determining whether one buys more or less. The shortages are allowed, and partially backlogged. The optimal solution is obtained by the gradient search method. The Mathematica 7 software is used as a solution tool to solve the non-linear constraints for the profit function. The study aims to optimize the total profit function over a given cycle length and analyse the variation of certain crucial parameters. The applicability and validity of the proposed inventory system are illustrated with the help of a numerical example and graphs based on the variation of some pivotal parameters.

Keywords: Deterioration, Inventory, Preservation, Price, and Production Reliant Demand

Cite this paper: Sushil Kumar, Manish Kumar, Shivani Singh, An Inventory Control System for Decaying Products with Preservation Technology, Price, and Production-Reliant Demand, American Journal of Operational Research, Vol. 16 No. 1, 2026, pp. 1-11. doi: 10.5923/j.ajor.20261601.01.

Subject Classification: MSC 2010 (90B05, 90B30)
Motivations and Findings: In the earlier existing inventory systems, the demand pattern is assumed constant, time-dependent, stock-dependent, etc. But in real-life situations, it is not always possible that the demand is increasing or decreasing with time. A large amount of inventory and the price of products also attract customers to buy. Therefore, the present study proposes an inventory control system for decaying products with preservation technology, price, and production-reliant demand.
The aim is to study the following,
1. The impact of selling price on the total profit function.
2. The impact of preservation technology on the total profit function corresponding to the planning horizon.
3. The Impact of perishability on the total profit function corresponding to the planning horizon.
This paper consists of sections 1 to 6. Section 1 describes the introduction, Section 2 defines the assumptions and notations, Section 3 shows the mathematical derivation of the inventory system, Section 4 is a numerical example, the section 5 presents the sensitivity analysis of some crucial parameters of the inventory system, and finally, the section 6 is the conclusion.

1. Introduction

The primary challenges for the manufacturing firms/businesses are to redesign their inventory planning according to the market demand. The market demand is directly favourable to the sustainability of quality production. The quality production has an inclusion of several factors, such as preservation technology, advertising, pricing, costs, eco-friendly etc. In real-world inventory control systems, the deterioration of products cannot be ignored. The manufacturing firms can reduce their deterioration rate by introducing the preservation technology. Preservation technology is defined as an essential component used to minimize the effect of deterioration. It is also used to measure and control the deterioration rate simultaneously. Nowadays, the preservation technology is adopted by every manufacturing/businesses firm. Because control on the deterioration of every type of products such as bakery products, foods, grains, soft drinks, medicines, hardware, glassware, vaccinesetc.is a big challenge. Ghare and Schrader [1] described an inventory model for exponentially decaying products. Datta and Pal constructed two inventory systems [2] and [4]. In the inventory system [2], they focused on an order-level inventory system for perishable products incorporating power-demand pattern, and variable deterioration rate. And, in the inventory system [4], they studied an inventory system for decaying products. This system also includes the price-sensitive and stock-dependent demand. Wee [3] addressed a replenishment policy for decaying products with price-dependent demand and variable deterioration rate. Teng and Chang [5] studied an economic production quantity model for decaying products. This system includes the price and stock-dependent demand. Wu et al. [6] stated an optimal replenishment policy for non-instantaneous perishable products with stock-dependent demand. They assumed the partial backlogging in their inventory model. Hou and Lin [7] analysed an EOQ (economic order quantity) model for decaying products with time-value of money. They included the stock and price-dependent selling rates under inflation in their inventory system. Yang and Ouyang [8] presented the retailer's optimal pricing and ordering policies for non-instantaneous decaying items. They incorporated the price-dependent demand and shortages in their inventory model. Chang et al. [9] stated a supply chain inventory model for decaying products. They discussed the manufacturer’s optimal replenishment policies using ups and downstream under trade credits.
The preservation technology has an important role in the success of any manufacturing firm/industry. Hsu et al. [10] developed an inventory model for deteriorating items with preservation technology investment. Yang et al. [11] created an inventory system for decaying products with a stock-dependent consumption rate. They used inflation and shortages in their model. Lee and Dye [12] studied an inventory system for deteriorating items with stock-dependent demand and controllable deterioration rate. Dye and Hsieh stated two inventory systems [13] and [14]. In the inventory system [13], they presented an optimal replenishment policy for perishable items with an effective investment in preservation technology. And, in the inventory system [14], they stated a production inventory system for deteriorating items using time-reliant demand under an effective investment in preservation technology. Pal et al. [15] presented a production system for decaying products. In their inventory system, they included a three-stage trade-credit policy and a three-layer supply chain. Dye [16] addressed an inventory system for non-instantaneous decaying products with preservation technology. Bhunia and Shaikh[17] analysed a deterministic inventory system for perishable products. They included the selling-price varying demand and three parameter Weibull distribution. Zhang et al. [18] presented an optimum pricing policy for an inventory system of deteriorating items using preservation technology investment.
Imperfect Production Models:
In the present real-world situations, every business firm faces extreme competition regarding quality production, nominal price, price-discount, and timely delivery. The imperfect production cannot be ignored in any manufacturing system. It occurs due to improper manufacturing process, damage, inspection errors, or any other machine-related reasons. Jaggi and Tiwari [19] discussed an inventory model for decaying products with imperfect quality production. Yang et al. [20] described an inventory system of perishable products with an optimum dynamic trade credit. They also included the preservation technology allocations for perishable products. Zhang et al. [21] created an inventory system with pricing, service, and preservation technology investment policy. They used the common resource constraints for decaying products in their inventory model. Mishraetal. [22] examined a controllable deterioration rate for an inventory model with price, and stock- dependent demand. They also incorporated the preservation technology and shortages in their inventory model. Pal et al. [23] stated an optimal replenishment policy for non-instantaneous perishable items. They used the preservation technology and random deterioration rate in this model.
Warehouses Inventory Models:
Warehouse management is also an essential factor for production firms. The production firms feel the need for rented warehouses when it produces the surplus to meet future demand. Khan et al. [24] described a two-warehouse inventory system for decaying products using an advance payment scheme and shortages. Shaikh et al. [25] discussed an EOQ model for perishable products with time-pattern demand and preservation technology. They also considered the partial backlogging in their inventory system. Shaikh et al. [26] created two warehouse inventory systems for deteriorating items with advance payment and interval-valued inventory costs under the particle swarm optimization technique. He et al. [27] presented an optimal pricing and replenishment policy for an inventory system of non-instantaneous decaying items with preservation technology. Shen et al. [28] constructed a profit-optimizing production model for deteriorating items, incorporating preservation technology investment and carbon tax. Das et al. [29] examined the applications of preservation technology for a profit optimization inventory system of decaying products. In their inventory system, they used the price-dependent demand and partial backlogging. Vada et al. [30] discuss sustainable production strategies for deteriorating and imperfect quality items. They used the preservation technology investment in their inventory model and optimized the total inventory cost. Kumar [31] addressed joint pricing and ordering policy for an advance sales system of perishable items incorporating partial order cancellations and price-varying linearly decreasing demand. Singha et al. [32] examined the benefit of preservation technology together with promotion, time-dependent deterioration, and fuzzy learning. Sindhuja and Arathi [33] introduced a cost-optimizing inventory model for deteriorating products with time-dependent quality demand and preservation technology. Niketa[35] optimized an inventory management for non-instantaneous deteriorating items. In her inventory model, she discussed the synergistic role of preservation technology and green investment.
Research Gap: Several existing inventory models are reviewed and compared with the proposed model consisting of production and selling price varying demand. In compliance with this, Sharma and Rathore [34] stated an inventory model for deteriorating items with hybrid type demand and returns in preservation technology investment. Punetha et. al. [36] created a re-manufacturing inventory model for deteriorating items with volume flexibility. Tshinangi et al. [37] presented a two-echelon supply chain inventory model for perishable products with a shifting production rate. This model also considers the stock-dependent demand rate and imperfect quality raw material. Zhanbing and Yejie [38] introduced an inventory model for deteriorating products with stock-dependent demand and variable holding cost. They discussed an optimal order quantity for unknown parameters.

2. Assumptions and Notations

The proposed inventory control system consists of the following assumptions and notations for parameters,
1. The production system produces a single product.
2. The production rate is .
3. The price and production reliant demand is where are constants and is the selling price.
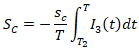
4. The deterioration rate is where
5. The deterioration rate is reduced by preservation technology. is the preservation technology function.
6. represents the preservation cost per unit per unit time.
7. represents the backlogging parameter.
8. represents the ordering or set up cost per unit per unit cycle.
9. represents the holding cost per unit per unit cycle.
10. represents the shortage cost per unit per unit cycle.
11. represents the production cost per unit per unit cycle.
12. represents the lost sales cost per unit per unit cycle.
13. is the length of production period.
14. is the time at which production level becomes zero.
15. is the cycle length.
16. and are decision variables.
17. The lead time is zero.
18. The time horizon is finite.
19. is the inventory level at any time
20. is the total profit function per unit cycle.

3. Mathematical Derivation of Inventory System

Let us consider an inventory system in which production starts at time and reaches a maximum level at time In time interval the production level decreases due to demand and deterioration simultaneously. The remaining production level also decreases due to both demand and deterioration in the time interval and becomes zero at time The shortages are partially backlogged in time interval at a rate where and are are the backlogging and waiting time parameters. Throughout the replenishment cycle the deterioration rate is reduced by preservation technology. The pictorial representation of the production system is depicted in the following figure 1.
Figure 1. Inventory Model
The instantaneous inventory level/production level at any time is followed by the given differential equations,
(1)
With a boundary condition,
(2)
With a boundary condition,
(3)
With a boundary condition,
The solutions of equations (1), (2) and (3) are given by the equations (4), (5) and (6) respectively.
(4)
(5)
(6)
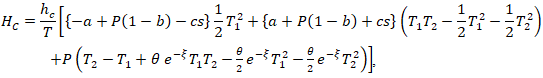
The total profit per unit cycle is,
(7)
Where, and are the ordering cost, holding cost, shortage cost, lost sales cost, purchase cost and sales revenue per unit cycle.
The respective associated inventory costs are calculated as follows,
The production set up cost per unit cycle is
(8)
The holding cost per unit cycle is
Putting the values of and we obtain
(9)
The shortage cost per unit cycle is
Putting the value of we have
(10)
The lost sales cost or opportunity cost per unit cycle is
After simplifying, we get
(11)
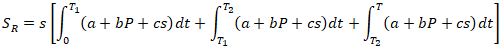
The sales revenue per unit cycle is
After simplifying, it becomes
(12)
The production cost per unit cycle is
(13)
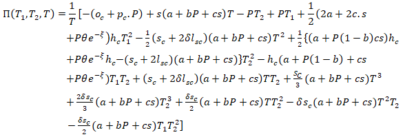
Putting the values of above calculated inventory costs given by the equations (8) to (13) in equation (7), we obtain
(14)
The profit function will be maximum necessarily, when the three equations given in the equation (15) are satisfied.
(15)
After solving the equations in (15), we find the optimum values of decision variables and , at which the profit function will be maximum.
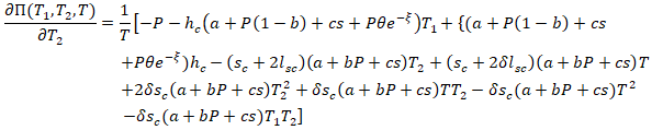
To obtain the first order partial derivatives of the profit function we differentiate the equation (14) with respect to and respectively.
(16)
(17)
(18)

4. Numerical Example

Let us consider the following numerical data for the parameters of the model in appropriate units as follows:
Table 1. Variation in total profit concerning deterioration parameter
     
Table 1 shows the variation in total profit function with respect to the deterioration parameter for the optimal values of decision variables, and The other variables are assumed fixed.
Figure 2. Variation in total profit w. r. to T
In context of Table 1, Figure 2 exhibits the depiction of the profit function corresponding to the replenishment cycle length T.
Figure 3. Variation in total profit w. r. to and T
Regarding Table 1, Figure 3 shows the 3D pictorial depiction of the profit function.
Table 2. Variation in total profit concerning selling price parameter
     
Table 2 shows the variation in the profit function corresponding to the selling price parameter, s for the optimal values of decision variables and T respectively. The other variables are considered constant.
Figure 4. Variation in total profit w. r. to s
Regarding Table 2, Figure 4 is the depiction of the profit function with respect to the selling price parameter s.
Figure 5. Variation in total profit w. r. to s and T
Corresponding to Table 2, Figure 5 is the 3D pictorial depiction of the profit function with respect to s and T.
Table 3. Variation in total profit concerning preservation technology parameter
     
Table 3 gives the variation in the total profit function with respect to the preservation parameter keeping the other variables fixed.
Figure 6. Variation in total profit w. r. to
In the regarding of Table 3, Figure 6 is the depiction of the profit function with respect to the preservation parameter .
Figure 7. Variation in total profit w. r. to T
Regarding Table 3, Figure 7 is the depiction of the profit function with respect to T.
Figure 8. Variation in total profit w. r. to and T
In view of Table 3, Figure 8 is the 3D pictorial depiction of the profit function.
Table 4. Variation in total profit concerning backlogging parameter
     
Table 4 presents the variation in the profit function corresponding to the backlogging parameter after keeping the other variables fixed.
Figure 9. Variation in total profit w. r. to T
In the context of Table 4, Figure 9 shows the depiction of the profit function corresponding to the backlogging parameter .
Figure 10. Variation in total profit w. r. to δ and T
Regarding Table 4, Figure 10 shows the 3D depiction of the profit function.
Table 5. Variation in total profit concerning production parameter
     
Table 5 focuses on the variation of the profit function corresponding to the production parameter P for the optimal values of decision variables and T assuming the other variables are fixed.
Figure 11. Variation in total profit w. r. to production parameter
In view of Table 5, Figure 11 shows the depiction in the profit function corresponding to the production parameter.
Figure 12. Variation in total profit w. r. to T
In view of Table 5, Figure 12 shows the pictorial depiction in the profit function corresponding to the replenishment cycle length.
Figure 13. Variation in total profit w. r. to T1 and T2
Regarding Table 5, Figure 13 shows the 3D pictorial depiction in the profit function.

5. Sensitivity Analysis

The sensitivity analysis of the crucial parameters shows:
1. Regarding the Table 1, as the deterioration parameter θ increases, the profit function decreases. With regards to the decision variables, an increase in deterioration parameter θ also increases the production period T1, and decreases the replenishment cycle length T. The cause of this is that the preservation technology cost increases.
2. In view of Table 2, as the selling price parameter s increases, the profit function increases. With regards to the decision variables, an increase in selling price parameter s also increases both the production period T1 and replenishment cycle length T. The reason for it is that the more sales revenue earned on the increased production level.
3. Corresponding to Table 3, as the preservation technology cost parameter ξ increases, the profit function decreases. With regards to the decision variables an increase in preservation technology cost parameter ξ also decreases both the production period T1 and the replenishment cycle length T.
4. In view of Table 4, as the backlogging parameter δ increases, the profit function decreases. With regards to the decision variables, an increase in backlogging parameter δ also decreases both the production period T1 and replenishment cycle length T.
5. In the context of Table 5, as the production parameter P increases, the profit function increases. With regards to the decision variables, an increase in production parameter P also decreases the production period T1 and replenishment cycle length T.

6. Conclusions

The proposed inventory control system considers price and production-reliant demand. The manufacturing firm increases its profit by introducing the preservation technology and decreasing the replenishment cycle length. The profit of the manufacturing firm is also affected by the selling price and backlogging rate. The increased rate of selling price increases the profit of the firm as the replenishment cycle length and production periods are increased. The increased backlogging rate increases the profit if the replenishment cycle length increases. In the future, this system can be generalized by introducing some crucial assumptions, such as reliability, delay in payment, an advance payment scheme, etc., and some realistic assumptions on lead time, demand, backlogging, advertisement, etc.

Statements & Declarations

The author declares the following information’s regarding this manuscript.

Conflict of Interest

It is confirmed that there is no conflict of interest among the authors about this publication.

ACKNOWLEDGEMENTS

There is no grant from any funding agency for this research. The respective authors would like to pay thanks to the editor and anonymous reviewers for their conspicuous comments and suggestions to improve the quality of this research.

Appendix 1

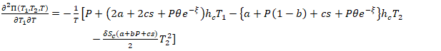
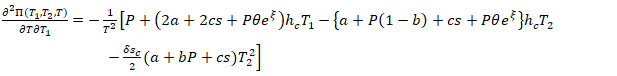
For an optimal profit, the second order derivatives of the profit function are as follows,
(1)
(2)
(3)
(4)
(5)
(6)
(7)
(8)
(9)

Appendix 2

The optimal values of decision variables and T, are obtained by setting the equations,
The second order derivatives conditions for the maximum values of profit function are as follows,
The Hessian matrix H is negative semi-definite. And and
The Hessian matrix is defined as follows,
Numerically, the Hessian matrix H is

References

[1]  P.M. Ghare, and G.F. Schrader. An inventory model for exponentially decaying products. Journal of Industrial Engineering, 14(5), 1963, 238-243.
[2]  T.K. Datta, and K. Pal. An order level inventory system for decaying products with power demand pattern and variable deterioration rate. Indian Journal of Pure and Applied Mathematics, 19(11), 1988, 1043-1053. 19.
[3]  H.M. Wee. A replenishment policy for an inventory system of decaying products with price-dependent demand and variable deterioration rate. Production Planning and Control, 8(5), 1997, 494-499.
[4]  T.K. Datta, and P.K. Pal. An inventory system for perishable products with stock-dependent price-sensitive demand rate. Production Planning and Control, 12(1), 2001, 13-20.
[5]  J.T. Teng, and C.T. Chang. Economic production quantity systems for decaying products with price and stock-dependent demand. Computers and Operations Research, 32(2), 2005, 297-308.
[6]  K.S Wu, L.Y. Ouyang, and C.T. Yang. An optimal replenishment pol icy for non-instantaneous decaying products with stock dependent demand and partial backlogging. International Journal of Production Economics, 101(2), 2006, 369-384.
[7]  K.L. Hou, and I.C. Lin. An economic order quantity model for perishable products with price and stock dependent selling rates and time value of money under inflation. International Journal of System Sciences, 37(15), 2006, 1131-1139.
[8]  C.T. Yang, L.Y. Ouyang, and H.M. Wu. Retailers optimal pricing and ordering policies for non-instantaneous decaying products with price dependent demand and allowing partial backlogging. Mathematical Problems in Engineering, 2009, doi.org/10.1155/2009/198305.
[9]  C.T. Chang, J.T. Teng, and M.S. Chen. Optimal manufacturers replenishment policies for perishable products in a supply chain with up-stream and down-stream trade-credits. International Journal of Production Economics, 127(1), 2010, 197-202.
[10]  P.H. Hsu, H.M. Wee, and H.M. Teng. An inventory system for decaying products with preservation technology investment. International Journal of Production Economics, 124(2), 2010, 388-394.
[11]  H.L. Yang, J.T. Teng, and M.S. Chern. An inventory model for decaying products with stock-dependent consumption rate and allowing partial back logging. International Journal of Production Economics, 123(1), 2010, 8-19.
[12]  Y.P. Lee, and C.Y. Dye. An inventory model for perishable products with controllable deterioration rate and stock-dependent demand. Computer and Industrial Engineering, 63(2), 2012, 474-482.
[13]  C.Y. Dye, and T.P. Heish. An optimal replenishment policy for decaying products with time varying demand under preservation technology investment. European Journal of Operational Research, 218(1), 2012, 106-112. 20.
[14]  T.P. Heish, and C.Y. Dye. A production inventory system for decaying products with time fluctuating demand pattern under the effect of preservation technology investment. Computational Applied Mathematics, 239, 2013, 25-36.
[15]  B. Pal, S.S. Sana, and K. Chaudhuri. Three stage trade credit policy for a three layer supply chain production system of perishable products. International Journal of System Sciences, 45(9), 2014, 1844-1868.
[16]  C.Y. Dye, An inventory system for non-instantaneous decaying products under the effect of preservation technology. Omega 41(5), 2013, 872-880.
[17]  A.K. Bhunia, and A.A. Shaikh. A deterministic inventory model for decaying products with three parameter Weibull distribution deterioration and selling price dependent demand. International Journal of Industrial Engineering Computations. 5, 2014, 497-510.
[18]  J. Zhang, Z. Bai, and W. Tang. An optimal pricing policy for decaying products with preservation technology investment. Journal of Industrial Management and optimization, 10(4), 2014, 1261-1277.
[19]  C.K. Jaggi, S. Tiwari, and A. Shah. A two-warehouse inventory system for deteriorating items with imperfect quality. Computer Industrial Engineering, 88, 2015, 378-385.
[20]  C.T. Yang, C.Y. Dye, and J.F. Ding. An inventory model for deteriorating items with optimal dynamic trade credit and preservation technology allocation. Computer Industrial Engineering, 87, 2015, 356-369.
[21]  J. Zhang, Q. Wei, Q. Zhang, and W. Tang. An inventory system for decaying products with pricing, service and preservation technology under common resource constraints. Computer Industrial Engineering, 95, 2016, 1-9.
[22]  U. Mishra, I.E. Cardenas-Barron, S. Tiwari, A.A. Shaikh, and G. Trevino Garza. An inventory model for deteriorating items with price and stock dependent demand, controllable deterioration rate, shortages under preservation technology investment. Annals of Operations Research, 254(1 2), 2017, 165-190.
[23]  H. Pal, S. Bardhan, and B.C. Giri. Optimal replenishment policy for non-instantaneously decaying products with random deterioration start time and preservation technology. International Journal of Management Science and Engineering Management, 13(3), 2018, 188-199.
[24]  M.A.A. Khan, A.A. Shaikh, and G.C. Panda, I. Konstantaras. Two warehouse inventory model for deteriorating products with partial backlogging and advance payment scheme. RAIRO Operations Research, 53(5), 2019, 1691-1708. 21.
[25]  A.A. Shaikh, G.C. Panda, S. Sahu, and A.K. Das. An economic order quantity model for decaying products with time-dependent demand, partial backlogging, and trade-credit under preservation technology. International Journal of Logistics Systems and Management, 32(1), 2019, 1-24.
[26]  A.A. Shaikh, S.C. Das, A.K. Bhunia, G.C. Panda, and M.A.A. Khan. A two warehouse economic order quantity model with interval-valued inventory cost and advance payment for deteriorating items under particle swarm optimization. Soft Computing, 23(24), 2019, 13531-13545.
[27]  G. Li, X. He. J. Zhou, and H. Wu. Pricing, replenishment and preservation technology investment decisions for non-instantaneous deteriorating products, Omega, 84, 2019, 114-126.
[28]  Y. Shen, K. Shen, and C. Yang. A production inventory model for deteriorating items with collaborative preservation technology investment under carbon tax. MDPI Sustainability, 11(18), 2019, 1-18, 5027, doi:10.3390/su11185027.
[29]  S.S. Das, A.M. Zidan, A.K. Manna, A.A. Shaikh, and A.K. Bhunia. An application of preservation technology in inventory control system with price-dependent demand and partial backlogging. Alexandria Engineering Journal, 59(3), 2020, 1359-1369.
[30]  P. Vada, P. Gautam, and A. Khanna. Sustainable production strategies for deteriorating and imperfect quality items with an investment in preservation technology. International Journal of System Assurance Engineering and Management, 12(5), 2021, 910-918.
[31]  S. Kumar. Joint pricing and ordering policy for an advance sales system of perishable items with partial order cancellations and price varying lin early decreasing demand. Turkish Journal of Computer and Mathematics Education, 12(5), 2021, 2009-2018.
[32]  A.S. Mahapatra, M.S. Mahapatra, B. Sarkar, and S.K. Majumder. Benefit of preservation technology with promotion and time dependent deterioration under fuzzy learning. Expert Systems with Applications, 201, 2022, 117169.
[33]  S. Sindhuja, and P. Arathi. An inventory model for deteriorating products under preservation technology with time-dependent quality demand. Cogent Engineering, 10(1), 2023, 1-25.
[34]  R.S.A. Sharma, and H. Rathore. An inventory model for deteriorating items with hybrid type demand and return in preservation technology investment. Proceeding of the Indian National Science Academy published 16 April 2024. 22.
[35]  D. Niketa, Optimizing inventory management for non-instantaneous deteriorating items: the synergistic role of preservation technology and green investment. Tuijin Jishu/ Journal of propulsion technology. 45(3), 2024, 265-282.
[36]  N. Punetha, S. R. Singh, and N. Handa A re-manufacturing inventory optimization model for deteriorating items with volume flexibility. Operational Research, 25: 24, 2025, 1-47, doi.org/10.1007/s12351-024-00889-8.
[37]  K. Tshinangi, O. Adetunji, and S. Yadavalli, A two-echelon supply chain inventory model for perishable products with a shifting production rate, stock-dependent demand rate and imperfect quality raw material. Applied Math, 5(50), 2025, 1-37, doi.org/10.3390/appliedmath5020050.
[38]  Z. Guo, and Y. Zhang, Solving the optimal order quantity with unknown parameters for products with stock-dependent demand, and variable holding cost. Journal of Combinatorial Optimization, 49:28, 2025, 1-22, doi.org/10.1007/s10878-025-01260-z.