American Journal of Organic Chemistry

p-ISSN: 2163-1271    e-ISSN: 2163-1301

2014;  4(1): 11-13

doi:10.5923/j.ajoc.20140401.02

Reaction of an Organotin Halide with Salicylideneimine Ligands

Burl Yearwood

Department of Natural Sciences, LaGuardia Community College (City University of New York), Long Island City, NY, 11101, USA

Correspondence to: Burl Yearwood, Department of Natural Sciences, LaGuardia Community College (City University of New York), Long Island City, NY, 11101, USA.

Email:

Copyright © 2014 Scientific & Academic Publishing. All Rights Reserved.

Abstract

Butyltin trichloride was reacted with Salhexen(tBu) [Salhen(tBu) = N,N'-(hexylene) bis (3,5-di-tert-butyl) salicylideneimine] and Salhepten(tBu) [Salpen(tBu) = N,N'-(heptylene) bis (3,5-di-tert-butyl) salicylideneimine]. The products of the reaction were analyzed by proton and carbon NMR, Sn NMR, FT-IR, melting point, and elemental analysis. The structure of the final products was determined from the analytical results. It is proposed that the metal binds to the oxygen and nitrogen of the ligands.

Keywords: Salen, Tin, Butyltin trichloride, Salicylideneimine, Salhexen, Salhepten

Cite this paper: Burl Yearwood, Reaction of an Organotin Halide with Salicylideneimine Ligands, American Journal of Organic Chemistry, Vol. 4 No. 1, 2014, pp. 11-13. doi: 10.5923/j.ajoc.20140401.02.

1. Introduction

Schiff bases are very useful reagents in organic and organometallic chemistry. The use of Schiff bases to prepare coordination and organometallic compounds has increased rapidly during the past few years [1-4]. Their properties can be tuned by modifying the organic backbone between the nitrogens. The complexes between Schiff bases and metals have been shown to act as catalysts, as biocidal and anti-tumor agents, and as models for biological studies [5-7]. Our research looks at the complexes formed between Group 13, Group 14 metals and Salen type ligands [‘Salen’ is the name that has historically been used to describe the entire class of such ligands possessing various diamino backbones. However, it is also the specific name of the ethyl derivative, Salen = N,N’-ethylene-bis (salicylideneimine)]. In this communication, we look at the reaction between butyltin trichloride and Salhexen(tBu) [Salhen(tBu) = N,N'-(hexylene)bis (3,5-di-tert-butyl) salicylideneimine] and Salhepten(tBu) [Salpen(tBu) = N,N'-(heptylene)bis(3,5-di-tert-butyl)salicylideneimine].

2. Experimental

Chemicals were of reagent grade. Butyltin trichloride (Aldrich) was used as received. Triethylamine (Aldrich) was dried over molecular sieves. The reagent 3,5-di-tert-butyl-2- hydroxybenzaldehyde was prepared according to the literature [8]. The ligands used in this study were prepared by the condensation reaction between the hydroxybenzaldehyde and the corresponding diamine. Infrared spectra were recorded on a Perkin-Elmer RX1 infrared spectrometer from 4000-200 cm-1 as KBr discs and were calibrated with respect to the 1601 cm-1 band of a polystyrene film. NMR data were obtained on a JEOL GX-400. Carbon, hydrogen, nitrogen, and tin analysis were carried out by Gailbraith Laboratories, Knoxville, TN. Melting points were determined in open capillaries and are uncorrected.

2.1. Preparation of Butyltin Trichloride Salhexen(tBu) and Salhepten(tBu) Complexes

In a round bottom flask, fitted with a reflux condenser, triethylamine (0.98 ml, 7.04 mmol) was added to a solution of H2Salhexen(tBu) (1.65g, 3.00 mmol) in toluene (40 mL). A solution of butyltin trichloride (0.846g, 3.00 mmol) in 20mL of toluene was then added slowly to the round bottom flask. The solution turned red. After addition of butyltin trichloride, the mixture was refluxed. The suspension was allowed to cool to room temperature, and the precipitated triethylamine hydrochloride was filtered off. The final product was analyzed.
The butyltin derivative of H2Salhepten(tBu) was synthesized in a similar procedure to that described above.

3. Results and Discussion

3.1. Results (Bu)Sn(Salhexen(tBu))Cl (1)

1 was prepared from 1.65 g (3.0 mmol) of H2Salhexen(tBu) and 0.846 g (3.00 mmol) of BuSnCl3. Yield 81%. M.p. 167-168°C. Red solid.
Elemental Analysis: Anal % (Calc %) for C36H54N2O2SnCl2: C, 58.1 (58.7), H, 7.42 (7.39), N, 3.71 (3.80), Sn, 16.9 (16.1).
IR Data: 2938(s), 2860(s), 1650(vs), 1610(vs), 1624(vs), 1540(s), 1455(m), 1405(m), 1380(s), 1345(m), 1335(m), 1280(s), 1260(vs), 1235(s), 1200(s), 1162(s), 1240(s), 1200(s), 1165 (m), 1100(s), 1030(s), 975(m), 928(w), 870(w), 795(s), 600(w), 547(m), 490(m), 300(m).
Molecular weight (Rast method) = 730 g/mol
1H (CDCl3): δ 1.30 (s, 18H, C(CH3)3), 1.50 (s, 18H, C(CH3)3), 2.35 (m, 6H, CH2), 4.10 (m, 4H, NCH2), 7.30 (d, 2H, C6H2), 7.70 (d, 2H, C6H2), 8.41 (s, 2H, N=CH).
13C NMR (CDCl3): δ 31.1 (C(CH3)3), 34.3 (NCH2), 35.1 (NCH2), 52.5 (C(CH3)3), 126.1 (Ph), 126.9 (Ph), 129.1 (Ph), 129.0 (Ph), 138.1 (Ph), 165.1 (N=CH).
119Sn NMR (Me4Sn): δ -503.

3.2. Results (Bu)Sn(Salhepten(tBu))Cl (2)

2 was prepared from 1.69g (3.0 mmol) of H2Salhepten(tBu) and 0.846g (3.00 mmol) of BuSnCl3. Yield 81%. M.p. 167-168°C. Red solid.
Elemental Analysis: Anal % (Calc %) for C37H56N2O2SnCl2: C, 59.6 (59.2), H, 7.49 (7.52), N, 3.69 (3.73), Sn, 15.0 (15.8).
IR Data: 2940(s), 2860(s), 1651(vs), 1615(vs), 1650(vs), 1540(s), 1457(m), 1400(m), 1380(s), 1345(m), 1330(m), 1282(s), 1260(vs), 1231(s), 1200(s), 1164(s), 1240(s), 1200(s), 1166 (m), 1103(s), 1031(s), 973(m), 930(w), 871(w), 795(s), 602(w), 545(m), 495(m), 301(m)
Molecular weight (Rast method) = 755 g/mol
1H (CDCl3): δ 1.32 (s, 18H, C(CH3)3), 1.49 (s, 18H, C(CH3)3), 2.31 (m, 6H, CH2), 4.21 (m, 4H, NCH2), 7.28 (d, 2H, C6H2), 7.65 (d, 2H, C6H2), 8.39 (s, 2H, N=CH).
13C NMR (CDCl3): δ 32.3 (C(CH3)3), 34.8 (NCH2), 35.6 (NCH2), 51.5 (C(CH3)3), 127.0 (Ph), 126.9 (Ph), 130.0 (Ph), 129.5 (Ph), 133.4 (Ph), 165.2 (N=CH).
119Sn NMR (Me4Sn): δ -505.

3.3. IR Results and Structure

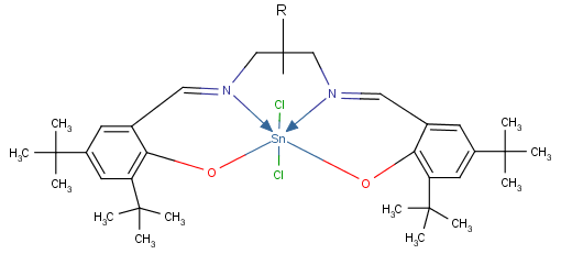
The reaction between the organotin trichloride and the Salen type ligand is an elimination reaction. Butane and triethylamine chloride are eliminated. In complexes 1 and 2, tin binds to the nitrogen and the oxygen of the Schiff base, as shown in Figure 1.
Figure 1. General structure of Butyltin trichloride Salhexen(tBu) [R = CH2CH2CH2CH2] and Butyltin trichloride Salhepten(tBu) [R = CH2CH2CH2CH2CH2
The IR spectra of 1 and 2 were recorded along with those of the starting reagents. A very significant feature in the spectra of 1 and 2 is the absence of v(OH) bands of the phenolic OH groups expected in the region 3000 - 3700 cm-1 that is present in the IR of the Salen ligand starting material. This indicates oxygen bonding to the metal after replacement of the phenolic hydrogen. The infrared spectrum of the ligands show a HC=N stretching vibration at 1618 and 1690 cm-1 for Salhexen and Salhepten respectively. In 1 and 2 this mode is shifted to lower frequencies, 1610 cm-1 (1) and 1650 cm-1 respectively indicating the coordination of the azomethine nitrogen atoms to the organotin(IV) moiety.
Further evidence for coordination in the complexes is seen in the new Sn-O bands at 547 (1) and 545 (2) cm-1. The v(Sn-O) modes are reported to be at 515–613 cm-1 for different organotin(IV) complexes of Schiff bases, at 540-560 organotin salicylideneimine ligands [3], and at 490-510 cm-1for some methyltin(IV) complexes [9].
The IR spectra also shows Sn-N bands at 490 (1) and 495 (2) cm-1. Frequencies for v(Sn-N) have been reported at 450-500 cm-1 for organotin salicylideneimine ligands [3, 10]. Absorptions for Sn-Cl are observed at 300 cm-1 for 1 and at 301 cm-1 for 2.

3.4. NMR Results and Structure

The NMR data suggest that compounds 1 and 2 are monomeric in solution. The methine proton for 1 and 2 were located at δ 8.41 and 8.39 respectively as a single peak. This suggests that the two N=CH protons are equivalent, which would be expected if 1 and 2 have a monomeric solution state structure. The chemical shifts due to the tBu of the ligands are observed as a pair of singlets from δ 1.3-1.5ppm. The presence of singlets also point to a monomeric solution state structure as a dimeric solution state would lead to multiplets.
119Sn NMR was also carried out on 1 and 2. Signals were observed at δ -503 and -505 respectively. These chemical shifts are in the range for six-coordinate tin compounds [12].
Further evidence for the structure proposed in Figure 1 is provided by the elemental analysis results which agree with the calculated formula. Molecular weight studies also confirm the proposed structure. Molecular weight studies were carried out using the Rast method, using camphor as the solvent [11]. A value of 730 g/mol was obtained for 1, which compares favorable with the calculated value of 736.4 g/mol. A value of 755 g/mol was obtained for 2, which compares favorable with the calculated value of 750.5 g/mol.

4. Conclusions

The NMR and IR data results suggest that the tin binds to the nitrogen and oxygen of the salicylideneimine ligands to form a six-coordinate tin complex.

ACKNOWLEDGEMENTS

The author thanks the Department of Natural Sciences at LaGuardia Community College for use of its facilities for this research.

References

[1]  Arjmand F. and Yousuf I., 2013, Synthesis, characterization and in vitro DNA binding of chromone Schiff base organotin (IV) complexes. Journal of Organometallic Chemistry, 743, 55-62.
[2]  Kaur H., Puri J. K., Kapila A., Singla A., 2013, Synthesis and characterization of some new di-and triorganotin (IV) complexes of Schiff base derived from o-vanillin and acetazolamide using microwaves. Main Group Metal Chemistry, 36(1-2), 35-39.
[3]  Yearwood B., Parkin S., Atwood D.A., 2002, Synthesis and characterization of organotin Schiff base chelates. Inorganica Chimica Acta, 333, 124.
[4]  Subaşi E., Çetin S., Temel H., 2013, Synthesis and characterization of stable hetereocyclic (Schiff Base) divalent tin species and photogeneration of their transition metal carbonyl complexes. Synthesis and Reactivity in Inorganic, Metal-Organic, and Nano-Metal Chemistry43(3), 305-311.
[5]  Garza-Ortiz A., Camacho-Camacho C., Sainz-Espuñes T., Rojas-Oviedo I., Gutiérrez-Lucas L. R., Gutierrez Carrillo A., Vera Ramirez M. A., 2013, Novel organotin (IV) Schiff base complexes with histidine derivatives: synthesis, characterization, and biological activity. Bioinorganic Chemistry and Applications, 2013.
[6]  Khandani M., Sedaghat T., Erfani N., Haghshenas M. R., Khavasi H. R., 2013, Synthesis, spectroscopic characterization, structural studies and antibacterial and antitumor activities of diorganotin complexes with 3-methoxysalicylaldehyde thiosemicarbazone. Journal of Molecular Structure, 1037, 136-143.
[7]  Sedaghat T., Tahmasbi L., Motamedi H., Reyes-Martinez R., Morales-Morales D., 2013, Diorganotin (IV) complexes with furan-2-carbohydrazone derivatives: synthesis, characterization, crystal structure and antibacterial activity. Journal of Coordination Chemistry, 66(4), 712-724.
[8]  Casiraghi, G., Casnati, G., Puglia, G., Sartori, G., & Terenghi, G. (1980). Selective reactions between phenols and formaldehyde. A novel route to salicylaldehydes. Journal of the Chemical Society, Perkin Transactions 1, 1862-1865.
[9]  Teoh, S. G., Yeap, G. Y., Loh, C. C., Foong, L. W., Teo, S. B., & Fun, H. K. (1997). Inner coordination sphere tin(IV) complexes with some O,N,N-terdentate{N-(2-hydroxybenzaldehyde)-1-amino-2-phenyleneimine andN-(2-hydroxy-1-naphthaldehyde)-1-amino-2-phenyleneimine} andO,N,N,O-quadridentate{N,N′-bis(2-hydroxybenzaldehyde)-1,2-phenylenediimine andN,N′-bis(2-hydroxy-1-naphthaldehyde)-1,2-phenylenediimine} Schiff bases, Polyhedron, 16(13), 2213-2221.
[10]  Garnovskii, A. D., Nivorozhkin, A. L., & Minkin, V. I. , 1993, Ligand environment and the structure of Schiff base adducts and tetracoordinated metal-chelates. Coordination chemistry reviews, 126(1), 1-69.
[11]  R. L. Shriner, R. C. Fuson, The Systematic Identification of Organic Compounds, 3rd ed., John Wiley and Sons Inc., New York, 1948, pp. 50-1.
[12]  Dey, D. K., Das, M. K., & Bansal, R. K., 1997, Studies on some di-and triorganotin (IV) derivatives of bis (1-pyrazolyl) borates and some related compounds. Journal of organometallic chemistry, 535(1), 7-15.