American Journal of Mathematics and Statistics
p-ISSN: 2162-948X e-ISSN: 2162-8475
2016; 6(1): 57-70
doi:10.5923/j.ajms.20160601.06

Nikos Tsirivas
University of Crete, Department of Mathematics and Applied Mathematics, Crete, Greece
Correspondence to: Nikos Tsirivas , University of Crete, Department of Mathematics and Applied Mathematics, Crete, Greece.
| Email: | ![]() |
Copyright © 2016 Scientific & Academic Publishing. All Rights Reserved.
This work is licensed under the Creative Commons Attribution International License (CC BY).
http://creativecommons.org/licenses/by/4.0/

Let H(C) be the set of entire functions endowed with the topology of local uniform convergence. Fix a sequence of complex numbers (λn), which satisfies the following property: for every M > 0 there exists a subsequence (µn) of (λn) such that: (i) µ1 ≠ 0; (ii)
; (iii)
An example of such a sequence is
We prove that there exists an entire function f such that for every complex number a with |a| = 1 the set {f (z + λn a): n = 1, 2, . . .} is dense in H(C). This largely extends a Theorem of Costakis.
Keywords: Hypercyclic operator, Common hypercyclic vectors, Translation operator
Cite this paper: Nikos Tsirivas , Common Hypercyclic Functions for Translation Operators with Large Gaps II, American Journal of Mathematics and Statistics, Vol. 6 No. 1, 2016, pp. 57-70. doi: 10.5923/j.ajms.20160601.06.
is non-empty for every sequence
of non-zero complex numbers. Our point of departure is the following extension of Birkhoff ’s theorem due to Costakis and Sambarino [23]:
The difficulty of proving such a result is, of course, the uncountable range of a. Subsequently Costakis, in an attempt to generalize the previous result established the following:Theorem 1.1. [20] Let (λn) be a sequence of non-zero complex numbers with|λn | → +∞ which also satisfies the following condition (Σ):Condition (Σ). For every M > 0 there exists a subsequence (µn) of (λn) such that
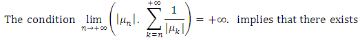
The purpose of the present work is to extend the above theorem by allowing a strictly wider class of sequences (λn). However, it is necessary to impose certain restrictions on (λn) so that the conclusion of the above theorem holds, as the following result from [24] shows: if (λn) is a sequence of non-zero complex numbers with
then
Frederic Bayart improved this result by proving that
We consider a sequence (λn) of complex numbers that satisfies the following condition which we call it condition (Σ1) from now on.Condition (Σ1). For every M > 0 there exists a subsequence (µn) of (λn) such that (i) µ1 ≠ 0(ii) |µn+1 | − |µn| > M for every n = 1, 2, . . . and(iii)
We denote A2 the sequences that satisfy the previous condition (Σ1). At this point it is instructive to observe that the sequences (n2), (n3), . . ., satisfy condition (Σ1) but not condition (Σ) of Theorem 1.1.We denote by
the circle with center 0 and radius r, for some r > 0.Theorem 1.2. Fix a sequence of complex numbers Λ=(λn) that satisfies the above condition (Σ1). Then for every r ∈ (0, +∞) the set
is a Gδ and dense set in (H(C), Tu). In particular,
It is clear that property (iii) of condition (Σ1) relaxes the corresponding condition (ii) of (Σ). This differentiate Condition (Σ1) from condition (Σ) because for a sequence |µn | from non-zero complex numbers the series
has always a unique limit, finite or + infinity. This does not hold for a sequence of the form
as someone can see, using elementary calculus because such a sequence can have many limit points.We note that Frederic Bayart examined in [2] similar problems in Rn generally in his significant paper.One may also wonder if property (iii) of (Σ1) in Theorem 1.2 can be relaxed by replacing the lim with lim sup. We prove now that this has no sense.More specifically:We denote N, the set of natural numbers.We consider the set A3 of sequences (λn) of complex numbers that satisfy the following condition which we call it Condition (Σ2) from now on.Condition (Σ2). For every M>0 there exists a subsequence (µn) of (λn) such that:(i) µ1 ≠ 0(ii) |µn+1 | − |µn| > M for every n = 1, 2, . . . and(iii)
Lemma 1.3. It holds: A2 = A3.Proof. It is obvious that![]() | (1.1) |
then the sequence (µn) satisfies of course property (iii) of condition (Σ1).
Of course an →0, as n→ + ∞.By property (iii) of (Σ2) there exists n1 ∊ N such that:![]() | (1.2) |
there exists![]() | (1.3) |
![]() | (1.4) |
![]() | (1.5) |
there exists n4 ∊ N, n4 > n3 such that![]() | (1.6) |
![]() | (1.7) |
such that:
Of course the subsequence
satisfies the properties (i), (ii) and (iii) of (Σ1). This shows that A3 ⊂ A2, that completes the proof. It is important to mention that in [35] we obtain a full strength of the conclusion of Theorem 1.1, namely we show that under the assumptions of Theorem 1.1 the set
is Gδ and dense set in (H(C), Tu). On the other hand, relaxing condition (iii) of Theorem 1.1 as above, the price we pay, at least for now, is the “thin”, but still uncountable, range of a in the conclusion of Theorem 1.2. A further connection of the present work with our main result from [34] will be discussed in Section 5.There are several recent results concerning either the existence or the non-existence of common hypercyclic vectors for uncountable families of operators, see for instance, [1]-[12], [14]-[25], [27]-[29], [31]-[35].The paper is organized as follows. Sections 2-4 contain the proof of Theorem 1.2. In the last section, Section 5, we connect our work with the main results from [34], [35].
and using Baire’s category theorem we easily see that Theorem 1.2 reduces to the followingProposition 2.1. Fix a sequence (λn) of complex numbers that satisfies the above condition (Σ1). Fix three real numbers r0, θ0, θT such that r0 ∈ (0,+∞), 
For the proof of Proposition 2.1 we introduce some notation which will be carried out throughout this paper. Let (pj), j = 1, 2, . . . be a dense sequence of (H(C), Tu), (for instance, all the polynomials in one complex variable with coefficients in (Q + iQ) where Q is the set of rational number. For every m, j, s, k ∈ N we consider the set
Clearly, Baire’s category theorem and the three lemmas stated below imply Proposition 2.1.Lemma 2.1
Lemma 2.2. For every m,j,s,k ∊ N the set E (m,j,s,k) is open set in (H(C), Tu).Lemma 2.3.
The proof of Lemma 2.1 is in [34]. The proof of Lemma 2.2 is similar to that of Lemma 9 in [22] and it is omitted. It remains to prove Lemma 2.3. This will be done in Sections 3 and 4 [23].
is satisfied for some value α ∈Α, then the same inequality is satisfied for values of a that are close to a. So the basic idea is to choose a suitable partition from finite many values of a that satisfy the desired inequality and wait that all the others satisfy the some inequality with the same term of the sequence (λn) of some of the finite many prescribed values.In a point of the proof it is needed, for technical reasons to have that the

example for the sequence λn = n2, , n = 1, 2, ….For this reason the method in [20] and [23] cannot be applied here. However, if it is permitted to
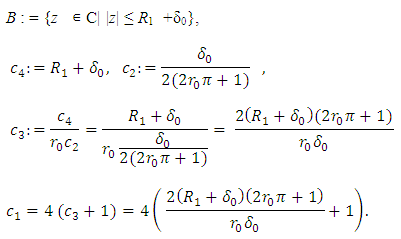
to become large enough. This exactly is the key point of our proof here. After we choose suitable terms of the sequence (λn) and some partition from values a∈A and we apply Runge’s Theorem on convenient discs with center in the point λna and the same radius R that is assigned by the problem.More specifically:Let Λ = (λn) be a sequence of non-zero complex numbers such that satisfies condition (Σ1). Let three real numbers θ0, θT , r0 be as in Proposition 2.1. For the sequel we fix four positive numbers c1, c2, c3, c4 such that c2 ∊ (0, 1), c3 > 1, c4 > 1, where
. After the definition of the above numbers we fix a subsequence (μn) of (λn) such that:

Throughout Section 3 the positive integer m0 will appear frequently and it is fixed from now on.![]() | (3.1) |
.We define the numbers
or in a more compact form![]() | (3.2) |
Now let some positive integer
Then there exists a unique pair
, where
such that:ν = k(m1(m) − m + 1) + j.Define
with respect to ν. So there exists the maximum natural number νm ∈ N such that
We set
In particular νm ≥ m1(m) − m + 1.Proof. By the definition of the numbers θj(m) j = 0, 1, . . ., m1(m) − m+ 1 we have![]() | (3.3) |
![]() | (3.4) |
![]() | (3.5) |


given by
and for r0 > 0 we define the corresponding curve
by
For any given positive integer
defines a partition of the
, where m0 is the positive integer defined above in Step 1 and ∆m is the partition of the interval [θ0, θT] constructed in Step 1. For every m ∈ N with m ≥ m0 define
which we call partition of the 
. Now there exists unique k ∈N ∪ {0}, and j ∈ {0, 1, . . ., m1 (m) − m} such that n = k (m1 (m) − m + 1) + j and defineµ (w) := µm+j.Thus we assign, in a unique way, a term of the sequence (µn) to every point of Pm and more specifically a term of the finite set
and we introduce the notationBw:= B + wµ(w),to take our construction. The desired disks are the disks B and Bw, w ∈ Pm. Denote byDm := {B} ∪ {Bw : w ∈ Pm }the collection of the above disks.Remark. Since µ(w) = µm+j does not depend on K, this means that several centers wµ(w) are on the same disk centered in 0.
with m≥ m0. Then
for every
Proof.
account c1 = 4 (c3+1) > 2c3 we get![]() | (3.6) |
Observe now that, by the definition of µ (w) in the previous subsection,![]() | (3.7) |
![]() | (3.8) |
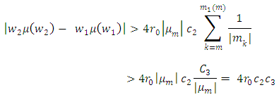
the proof of the lemma.Lemma 3.3. Let m ∈ N with m ≥ m0 and w1, w2 ∈ Pm with w1 ≠ w2. Then
Proof. We distinguish two cases: (i) |µ (w1)| < |µ (w2)|.Our hypothesis implies|w2µ(w2)−w1 µ(w1)| ≥ ||w2 µ(w2)|−|w1µ(w1 )|| = r0(|µ(w2)|−|µ(w1 )|) ≥ r0 c1 > 2c4 ,where the last inequality above follows by (3.6).
(ii) |µ (w1)| = |µ (w2)|.
for some n1 , n2 ∈{0, 1, . . ., νm} and n1 ≠ n2 because w1 ≠ w2. Without loss of generality we suppose that n1 < n2.Now there exists a unique pair (k1, j1), where k1 ∈ N ∪ { 0}, j1∈ { 0, 1, . . ., m1(m) − m} and a unique pair (k2, j2) where k2 ∈ N ∪ {0} and j2 ∈ {0, 1, . . ., m1(m) − m} such that![]() | (3.9) |
![]() | (3.10) |
and the hypothesis yields|µ(w1)| = |µ(w2)| ⇔ µ(w1) = µ(w2).So we have j1 = j2. Thus
and![]() | (3.11) |
![]() | (3.12) |
![]() | (3.13) |

The last inequality implies the last equality of (3.13).Consider Jordan’s inequality
We have

![]() | (3.14) |
![]() | (3.15) |
The last equality, inequality (3.15) and the definition of the number m1(m) give
and the properties of our fixed numbers imply 4r0c2c3 > 2c4.It follows that Bw1 ∩ Bw2 = ∅ and the proof of this lemma is complete. By Lemmas 3.2, 3.3 we conclude the following.Corollary 3.1. For every positive integer m with m ≥ m0 the family Dm := {B}∪{Bw : w ∈Pm} consists of pairwise disjoint disks.
dense in (H(C), Tu). For simplicity we write
. Consider fixed g ∈ H(C), a compact set K ⊆ C and
. We seek f ∈ H(C) and a positive integer
such that![]() | (4.1) |
![]() | (4.2) |
![]() | (4.3) |
Observe that c3, c4 ∈ (1, +∞) and c2 ∈ (0, 1).After the definition of the above numbers we choose a subsequence (µn) of (λn) such that |µn |, |µn+1 | − |µn | > c1 for n = 1, 2, . . .and
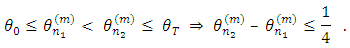
By condition (ii), there exists a positive integer m0 such that for every m ≥ m0
After that, on the basis of the fixed numbers r0, θ0, θT , c1, c2 , c3, c4 and m0, for every positive integer m with m ≥ m0 we define the corresponding partition Pm (see section 3). From now on till the end of the proof of the lemma we fix a positive integer m ≥ m0 with its corresponding partition Pm. For simplicity we writeP := Pm .Then, we define the set L as follows:
where the discs Bw , w ∈ P, are constructed in Section 3. By Corollary 3.1, the family D : = {B } ∪ {Bw: w ∈ P } consists of pairwise disjoint disks. Therefore the compact set L has connected complement. This property is needed in order to apply Mergelyan’s theorem [30]. We now define the function h on the compact set L, by
By Mergelyan’s theorem [29] there exists an entire function f (in fact a polynomial) such that![]() | (4.4) |
which implies the desired inequality (4.2).It remains to show (4.1). Let α ∈ A. There exists a unique θ ∈ [θ0, θT ] such that α = r0 e2πiθ . Now there exists unique ρ ∈ {0, 1, . . ., νm − 1} such that:
and we then define
For the above, recall that the definitions of νm and
,
are defined in Section 3. Set w0: = r0e2πiθ1 ∈ P. We shall prove that for every z ∈ C, |z | ≤ R1 we have z + αµ (w0 ) ∈ Bw0 . 
![]() | (4.5) |
![]() | (4.6) |
![]() | (4.7) |
which implies (4.7). So, for every z ∈ C, |z | ≤ R1 ![]() | (4.8) |
![]() | (4.9) |
![]() | (4.10) |
![]() | (4.11) |
where f ∈ H (C), since f is a polynomial. This implies (4.1) and the proof of the lemma is complete. 

For instance, sequences of linear growth i.e. λn = αn + b, α, b ∈ C, α ≠ 0, n = 1, 2, . . ., satisfy condition (Σ), or sequences (λn), such that
We introduce the following definitions.
For Λ ∈ L’ , define
andi(Λ):= inf B (Λ)Clearly,i (Λ) ∈ [1, +∞] for every Λ ∈ L′.Our main results in [34], [35] are the following
a Gδ and dense subset of (H(C), Tu).
dense subset of (H(C), Tu).In order to come closer to a complete picture of our investigations we introduce one last class of sequences. SetA4 := {Λ = (λn) ∈ L′|i (Λ) = 1}.Proposition 5.1. A4 ⊂ A2 Proof. Let Λ = (λn ) ∈ A4 and fix a positive number M. By Lemma 7.1 in [34] there exists a subsequence (µn) of (λn) such that |µn+1| − |µn | > M for every n = 1, 2, . . . and |µn+1|/|µn |→1 as n→ + ∞.
. To this end, let A >0 and consider any positive number ε so that ε < 1/A. Since |µn+1 |/|µn|→1 as n→ + ∞ there exists a positive integer N such that |µn /µn+1 | > 1/(1 + ε) for every n ≥N. Repeated using of the previous inequality gives
and upon summation we get
and this completes the proof. From the above we have A1 ∪ A4 ⊂ A2.In view of Theorem 5.1 and in order to completely characterize the sequences
such that the set
(H(C), Tu) one has to deal with sequences Λ ∈ L for which i (Λ) > 1. This is one of the reasons we introduced the classes A1, A2. Indeed, it is established in [35] that the class A1 contains sequences Λ ∈ L with i (Λ) > 1. On the other hand, there exist sequences Λ ∈ L′ with i (Λ) = 1 and Λ ∉ A1, see [35]. Since,A1 ⊂ A2we conclude that the class A2 contains sequences Λ ∈ L′ with i (Λ) > 1. The above inclusion is strict; for instance, the sequence λn = n2, n = 1, 2, . . ., belongs to A2 but not in A1 . However i ((n2 )) = 1, therefore for this sequence the conclusion of Theorem 5.1 holds and of course in this case the conclusion of Theorem 1.2 is covered by the much stronger Theorem 5.1. So the interest here is to show that there exists Λ ∈ A2\A1 with i (Λ) = M for some positive real number M > 1, and this in turn shows that our main result, Theorem 1.2, is not covered by Theorems 5.1, 5.2. This is the content of the followingProposition 5.2. Fix some M > 1. There exists Λ ∈ A2\A1 such that i (Λ) = M.Proof. We construct inductively a countable family {Fn }, n = 1, 2, . . . of finite sets Fn ⊂ [1, +∞) according to the following rules. Firstly, we fix the sequence
where with [αn ] we mean the integer part of the real number αn .(i) F1 = {1}.(ii) Fm = {(αm + ν )2| ν = 0, 1, . . ., [αm] + 1} m = 1, 2, . . ..(iii) min Fm+1 = M · max Fm for each m = 1, 2, . . .,
Fm1 ∩ Fm2 = 0. Set
We define the sequence Λ = (λn) to be the enumeration of
by its natural order.
strictly increasing sequence of positive numbers. We divide the proof into several claims.Claim 1. For every subsequence (µn) of Λ we have
Proof. Let (µn) be a fixed subsequence of Λ. We prove that for every natural number n1 ∈ N, there exists N ∈ N with N ≥ n1 such that
So, fix n1 ∈ N. Let m2 be the unique positive integer such that
. We set
. It is obvious that
. We set
. Then
and so
.
So we proved that for every n ∈ N, there exists some N ≥ n such that



then by the construction of
we remark by definition of
that
for some
; thus![]() | (5.1) |


![]() | (5.2) |
the conclusion follows. This completes the proof of Claim 2.Claims 1 and 2 imply that i(Λ)=M. We now show the following claim.



and by noticing that
The above claim shows that
. We now show our last claimClaim 4.
Proof. Since previously, we have trivially


Finally, since
we can deduce that the sequence
satisfies condition (C). Hence
and the proof of this proposition is complete. Proposition 5.2 shows that the previous inclusion A1 ∪ A4 ⊂ A2 is strict. So, at the level of a circle the main result of this paper is “strictly” stronger than the union of the main results in [34], [35].