American Journal of Mathematics and Statistics
p-ISSN: 2162-948X e-ISSN: 2162-8475
2015; 5(4): 200-219
doi:10.5923/j.ajms.20150504.06
Sameer Qasim Hasan, Fawzi Mutter Ismaeel
Al-Mustansrea University, College of Education, Mathematics Department
Correspondence to: Sameer Qasim Hasan, Al-Mustansrea University, College of Education, Mathematics Department.
| Email: | ![]() |
Copyright © 2015 Scientific & Academic Publishing. All Rights Reserved.
The present paper investigates the existence of mild solutions for some impulsive multi-fractional order control systems with nonlocal initial value conditions and neutral delay. The existence results are obtained by the fixed point theorem. The uniqueness of the mild solution is further discussed in the absence of the delay.
Keywords: Impulsive nonlinear control system
Cite this paper: Sameer Qasim Hasan, Fawzi Mutter Ismaeel, Existence and Uniqueness of the Mild Solution to the Fractional Order Impulsive Nonlinear Control System, American Journal of Mathematics and Statistics, Vol. 5 No. 4, 2015, pp. 200-219. doi: 10.5923/j.ajms.20150504.06.
function. The necessary and sufficient conditions of existence have been presented and given in details. The uniqueness solution of this classes have been presented without delay with some necessary conditions. The results in [6], [15], [21], [20], was developed with this classes in system (3.1) with multi-fractional derivatives which defined on
,
all above result have been given the mild solution in piecewise continuous space
.The existence conditions for the fractional order impulsive integro-differential non-quasilinear equations with neutral infinite delay and nonlocal integral condition have been considered and developed of the works in [11], [8], [12], [5], [10], [13], [3], [4], [18], [17], [2]. The class of equations considered in the paper constitutes an important subclass of control systems since such models appear as a natural description of several real processes, and extend many classical initial value problems. The paper studies the existence-uniqueness of the mild solution, which constitutes a crucial step in the study of any control problem.
and
, respectively. Which is use it in next section consider the existance of the fractional impulsive mixed-type integro-differential partial functional equation with neutral infinite delay and nonlocal conditions.Definition (1.2), [18]:The piecewise continuous space which defined on a Banach space X is denoted by
is continuous at
left continuous at
and the right-hand limit
exists for
.Note that the
equipped with the norm
is a Banach space.Definition (2.2) "Compact Operator", [25]:Let X and Y be normed spaces, the operator
is called a compact if:1. A is continuous, and2. A transforms bounded subset M of X into relatively compact subset in
is compact).Definitions (2.3), [24]:A subset U of
is said to be equicontinuous if for each
there is a
such that:
and
, imply
.Lemma (2.1), "Completely Continuous Operator", [19]:Let X be a normed space, the mapping
is called completely continuous if it is compact.Remark (2.1), [9]:Compact operator on Banach space are always completely continuous.Definition (2.4), [16]:Let X be a metric space equipped with a distance d. A map
is said to be Lipschitz continuous if there is
such that
The smallest
for which the inequality holds is the Lipschitz constant of f. If
f is said to be nonexpansive, if
f is said to be a contraction.Theorem (2.1) "Arezola-Ascoli's theorem", [19]:Let
satisfy:i. For any
is relatively compact on X.ii.
is equicontinuous on
that is, for any
and any
there exists
such that:
for any
satisfying
and all
.Then is a relatively compact.Theorem (2.2) "Schauder's Fixed-Point theorem", [19]:Let
be a nonempty bounded convex closed subset in
if
is continuous and
is relatively compact, then
has at least one fixed point. Theorem (2.3) "Leray-Schauder Principle", [25]:Suppose
and any solution of
satisfies the priori bound
for
then T has a fixed point.Definition (2.5) "Strongly Continuous Semigroup", [7]:A semigroup
,
of bounded linear operators on a Banach space X is a
-semigroup of bounded linear operators if:
, for every
.Definition(2.6), [14]:If
is a strongly continuous cosine family in X, i.
associated to the given strongly continuous cosine family, is defined by 
ii. The infinitesimal generator
of a cosine family
is defined by
where
Remark (2.2), [22]:Let
cosine family of bounded linear operators. Then
is once continuously differentiable in
.Lemma (2.2), [22]:Let A be a generator of strongly continuous cosine family
of bounded linear operators. Then
Definition (2.7) "mild solution", [23]:Let A be infinitesimal generator of a Co-semigroup T(t). Let
The function
given by:
is the mild solution of the above non homgenous initial value problem.Definition (2.8), [1]:The Riemann-Liouvill fractional derivative of order
for a function
is defined by 
, provided the right hand side is pointwise defined on
.Definition (2.9), [1]: The Riemann-Liouvill fractional integral of order
for a function
is defined as
provided the right hand side is pointwise defined on
.Lemma (2.3), [20]:If
is a linear operator such that
then, for
we have
Lemma (2.4), [20]:If
is a continuous function such that
and
is continuous, then, for
we have
Corollary (2.1), [20]:For the sine family
associated with the cosine family
and
we have
Hypotheses (2.1):The following hypotheses of
constriction needed in description of piecewise continuous space
. 1.
is a continuous function satisfy
The Banach space
induced by the function
is defined as follows
for any
is a bounded and measurable function on
and
endowed with the norm
2. Let
and there exist
and
with
,
where
is the restriction of
to
,
Denote by
a seminorm in space
as follows
where 
with norm
. 
![]() | (3.1) |
where
defined in hypotheses (2.1).
is a nonlinear function from
, the control function u(.) lies in a Banach space
of admissible control functions. B is a bounded linear from a Banach space U into X,
for all 
which defined as
We shall make the following hypotheses:1.
is the infinitesimal generator of a strongly continuous cosine family
of bounded linear operator in the Banach space
. The associated sine family
is defined in definition (2.6).2.
and
on
depend on
.To define and find the mild solution of problem (3.1), let by condition (1), C(t),
is a strongly cosine semigroup generated by the linear operator A, and let x(t) be the solution of (3.1). Then by Remark (2.2) we have C(t)x is differentiable that implies
-valued function
is differentiable for
and:
Take the integration from 0 to t of both sides and shchas the technique that are using to find the mild in theorem (3.4), we used in the following:
Hence,
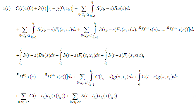
Therefore,![]() | (3.2) |
is called a mild solution of the problem (3.1) if
, the impulsive conditions 

,
is verified, the restriction of
to the interval
is continuous and the following integral equation holds for
.![]() | (3.3) |
is uniformly continuous for a.e
For every
the function is strongly measurable.ii. There exists a nonnegative continuous function
and a continuous nondecreasing positive function
such that:
iii. For each
the set
is relatively compact in
4. i.
ii. There exist a nonnegative continuous function
and continuous nondecreasing positive function
such that
, for
.iii. The family of functions
is equicontinuous on
iv. For each
the set
is relatively compact in
5.
6.

7. The linear operator B satisfies the following
,
, for positive constant
.8. Let 

Remark (3.3):From conditions (3) (iii) and (4) (ii) above, we have the following:(a)
, where
is positive constant.(b)
, where
is positive constant.Remark (3.4):We need the following inequalities for complete the prove of existence theorem.
, thus
We define
as follows:![]() | (3.4) |
and for
, we define
function by
Theorem (3.4):Assume the Hypotheses (1-7) and ![]() | (3.5) |
,
the Multi-fractional order impulsive nonlocal initial value control problem (3.1) has a mild solution
for every control
Proof: From definition(3.10) and for
the maps define as: 
![]() | (3.6) |
![]() | (3.7) |
and
, and from lemma(2.3), we get
.To satisfies theorem (2.2) for finding a fixed point need to do the following:![]() | (3.8) |
thus
Also, from equation (3.7), we obtain:
From condition (8)(i), we have that![]() | (3.9) |



From condition (8), (ii), (iii), we get![]() | (3.10) |
Then
and 

, thus
, therefore
, By taking the integral in both sides we get:
let
,![]() | (3.11) |

Hence
is bounded and then
is bounded.Thus the set of solution of (3.8) is bounded in
. To prove that
are completely continuous, from the mild solution (3.2), we get
Since
and
are bounded on [0,T] and closed, then are compact.and also
are bounded, then the multiplication of bounded and compact set is compact, hence compact on Banach Space is completely continuous (see lemma(2.1)). Now:
By (1) and (4), for
and
, there exists
such that:
for
and
where
This together with (3), (4) and the fact that
satisfies Lipschitz condition, imply that:
Thus
is equicontinuous on
By
is continuous from
to
and from (4) (iv) that
is relative compact in
.The set
.Since
is continuous and defined on relative compact set
then the above set is relative compact in
By remark (2.1), we get
is completely continuous. Let
thus
and select the partition
of
for 
For
then
for
Since
is bounded from (3), (iii) and
also
is uniformly Lipschitz on
we obtain
where
Therefore
is relative compact in
By theorem (2.1), we have that
is relatively compact in
then
is completely continuous (see lemma (2.1)). Similarly we can prove that
is completely continuous. Hence
has a fixed point in
.
Via cosine semigroup operators.Theorem (3.5):Assume the hypotheses (1-3), (4)(i), (5)(i), (7) and i. 
andii.
satisfies Lipschitz condition such that
iii.
.Then for every
,
the Multi-fractional order impulsive nonlocal initial value control problem(3.1) without Neutral infinite delay has a unique mild solution
for every control
that is
Proof: Let
be two local mild solution of the nonlocal initial value impulsive control problem by equation (3.1) on the interval
we must prove:
, Assume that


Set
. Now, 

by (3.5), hence
.