Mamajanova Nodira Mirfotixovna
Department of Medical Radiology, Tashkent Medical Academy, Tashkent, Uzbekistan
Correspondence to: Mamajanova Nodira Mirfotixovna, Department of Medical Radiology, Tashkent Medical Academy, Tashkent, Uzbekistan.
| Email: |  |
Copyright © 2025 The Author(s). Published by Scientific & Academic Publishing.
This work is licensed under the Creative Commons Attribution International License (CC BY).
http://creativecommons.org/licenses/by/4.0/

Abstract
The scientific article discusses possible methods of non-invasive assessment of fibrosis at an early stage using ultrasound in patients with chronic hepatitis using a scoring system. The aim of our study was to develop an ultrasound scoring model for predicting fibrosis. This study identified grayscale and doppler echo features that predict liver fibrosis by using machine learning. This study introduces a multiparametric ultrasound diagnostic approach for non-invasive prediction of liver fibrosis in patients with chronic hepatitis, specifically designed for outpatient clinical practice. We developed and validated a comprehensive ultrasound scoring model incorporating both grayscale and Doppler parameters to assess fibrosis severity. Through machine learning analysis, we identified and optimized key sonographic features that demonstrate strong correlation with fibrosis stages. The resulting model provides clinicians with a practical, radiation-free tool for early fibrosis detection, offering improved diagnostic accuracy while potentially reducing reliance on invasive liver biopsies in outpatient settings. This approach represents a significant advancement in point-of-care hepatic assessment, combining multiple ultrasound modalities with computational analysis to enhance non-invasive fibrosis evaluation.
Keywords:
Chronic viral hepatitis, Fibrosis, Liver, Doppler, Grayscale echography
Cite this paper: Mamajanova Nodira Mirfotixovna, Multiparametric Ultrasonic Diagnostics of the Liver Using Ultrasonic Scoring Model for Predicting Fibrosis in Patients with Chronic Hepatitis in Outpatient Practice, American Journal of Medicine and Medical Sciences, Vol. 15 No. 6, 2025, pp. 1834-1838. doi: 10.5923/j.ajmms.20251506.42.
1. Introduction
Chronic hepatitis of viral etiology is a pressing public health problem due to its widespread prevalence, long duration and adverse consequences. Most people with chronic hepatitis are unaware of the infection until the virus causes severe liver damage. The severity of chronic hepatitis is determined by the activity of the inflammatory process and the degree of fibrotic changes [1,2].In this regard, the issue of early assessment of the activity of the inflammatory process and the stage of chronic hepatitis for timely adequate therapy remains relevant. Moreover, if the activity of inflammation can be judged to a certain extent by the corresponding shifts in biochemical blood parameters, then information on the structural reorganization of the liver is needed to assess fibrosis [3].The most adequate assessment of the nature, depth and severity of changes in chronic hepatitis can be obtained through histological examination of the material obtained during a CORE liver biopsy under ultrasound control. However, this is a complex invasive procedure, with possible serious complications, including life-threatening ones for the patient, and therefore it is used extremely rarely, mainly in specialized high-level institutions. Therefore, the assessment of the stage and activity of CG is usually based on clinical laboratory and non-invasive instrumental research methods, including visualization methods [4,5,6].Among the latter, the undisputed leader is ultrasound examinations, due to their numerous advantages, which consist of the possibility of obtaining valuable information about changes in the liver using a simple and accessible method [7].This imaging technology has undergone great development and has now been transformed into a multiparametric modality that allows one to study and evaluate both the structural features of the liver (gray-scale ultrasonography) and liver hemodynamics (Dopplerography), as well as to evaluate changes in liver tissue rigidity that occur in hepatitis due to the development of fibrosis (elastography). Fibrosis is the main criterion for the severity of chronic hepatitis. There are many studies evaluating the effectiveness of ultrasound in diagnosing chronic hepatitis and liver fibrosis. In these studies, the sensitivity and specificity of gray-scale ultrasonography are assessed inconsistently, and a relatively high frequency of false-negative or false-positive results is noted [8].At the same time, there are studies that show that the use of Dopplerography and elastography in addition to gray-scale ultrasonography significantly improves ultrasound diagnostics of liver diseases. At the same time, in everyday practice, including during medical examination, mainly gray-scale ultrasonography data are used, which emphasizes the importance of disseminating multiparametric ultrasound diagnostics in the examination of patients with chronic hepatitis.This problem is especially important for outpatient and polyclinic healthcare, where primary diagnostics and dispensary observation of patients with chronic hepatitis are mainly carried out [9].The stage of liver fibrosis in patients with chronic viral hepatitis is the main criterion for assessing the severity of the disease. The possibility of non-invasive staging of liver fibrosis is of particular importance in the context of dispensary observation of patients with chronic viral hepatitis, for the timely administration of antiviral therapy when significant liver fibrosis (stage II) is detected, as well as for carrying out a set of measures in patients with severe fibrosis (stage III) and liver cirrhosis (stage IV).According to the established opinion, conventional echography and Dopplerography are not able to control the degree of liver fibrosis, addressing the solution of this issue to the method of ultrasound echography. At the same time, from the end of the last century to the present day, works continue to be published proving the possibility of non-invasive prediction of the degree of liver fibrosis using a scoring (rating) system for assessing echographic signs and parameters.Most of these studies are based on strong evidence from comparisons with liver biopsy pathological data. However, scoring ultrasound systems for classifying liver fibrosis have not yet become widespread in practice. This may be due to the diversity of approaches to constructing scoring models, to selecting echo features – predictors, and differences in methods for assessing the effectiveness of models [10].
2. Purpose of the Research
The aim of this study was to develop, using machine learning, an ultrasound scoring model for predicting the degree of liver fibrosis in patients with chronic viral hepatitis.
3. Materials and Methods
The object of the study was 108 patients with chronic viral hepatitis who were under dispensary observation. Of these, 58 patients with chronic viral hepatitis B, 50 patients with chronic viral hepatitis C. Of these, the number of men was 49, women 59. The age of the patients ranged from 25 to 70 years.Clinical, laboratory and instrumental studies were carried out, including serological tests and molecular genetic studies (PCR).Ultrasound examinations were performed on Esaote My lab-7 devices (Italy) using a convex probe with a frequency of 3.5-5 MHz, and on a Fibroscan device (Echosens France) according to standard protocols, within the timeframes established for each dispensary group.The examination modes included:• gray-scale echography;• pulsed-wave Dopplerography;• transient elastography;Transient elastography data on the degree of liver fibrosis according to the METAVIR scale, recommended by the International Association of Gastroenterologists as an alternative to invasive liver biopsy, were used as reference values.According to the used description protocol, B-mode images and Dopplerograms were assessed according to 18 features and parameters.6 discrete, qualitatively assessed features:• contours;• echogenicity;• granularity;• echostructure of the liver and spleen;• periportal fibrosis;12 continuous metric parameters: • sizes of the liver, spleen, gallbladder walls, portal system vessels; • average blood flow velocity in the portal vein; • blood flow velocity and resistance index of the hepatic artery, etc.Statistical processing included:• using the Kruskal-Wallis statistic;• multicollinearity test;• matrix (heat map) of Pearson pair correlation coefficients;• as well as multiple logistic regression with the selection of significant, but not multicollinear echo features - predictors using the least squares method.
4. Results and Discussions
The advantage of liver ultrasound is the ability to obtain multiple signs and parameters characterizing morphology and function (portal and hepatic hemodynamics).The use of quantitative assessment of a set of echo signs and parameters seems promising in classifying the degree of liver fibrosis in patients with chronic hepatitis.To answer this question, we used logistic regression with the construction of an ultrasound model for predicting the degree of liver fibrosis using machine learning. For this, all qualitative echo signs were assessed with each sign being assigned a determined score. Qualitative signs: echogenicity of the liver parenchyma, structure, contours, were assessed on a 2-3-point scale.Then the entire list of echographic signs and metric parameters were subjected to statistical analysis using the Kruskal-Wallis method to select those that were statistically significantly dependent on the degree of liver fibrosis. Based on these 13 relevant echographic signs and parameters, a multivariate regression was performed, with the selection of relevant and at the same time non-collinear.For this scheme, taking into account the designated tasks and taking into account the limited size of the initial data (only 108 patients with CVH, also divided into 5 stages), feature selection using the least squares method was used.The least squares method (LSM) is a mathematical method used to solve various problems. It is based on minimizing the sum of squares of deviations of some functions from experimental input data.As a result, three features were selected as ultrasound predictors of liver fibrosis:• state of liver contours;• size of the caudate lobe;• peak blood flow velocity in the hepatic artery.Based on these three features, logistic regression models for predicting the degree of liver fibrosis were created.Evaluation of the prognostic effectiveness of the constructed models showed their good predictive ability.Changes in echographic characteristics of the liver in patients with chronic viral hepatitis at different stages of fibrosis according to the METAVIR classification (M + SD) (Table 1).Table 1  |
| |
|
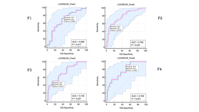
ROC curves for predicting F1, F2, F3, F4 stages of liver fibrosis (Fig. 1). | Figure 1 |
The performance indicators of the logistic regression model for predicting the degree of liver fibrosis were compared with:• a laboratory biomarker of fibrosis - the FIB-4 index, calculated using ALT, AST and platelet count data, taking into account the patient's age.The results showed that the predictive model based on a combination of echo features is superior in efficiency and accuracy to the FIB-4 biomarker.Comparison of the performance indicators for predicting the degree of liver fibrosis using the ultrasound scoring LR model and the FIB-4 marker (ROC analysis data) (Table 2).Table 2  |
| |
|
Logistic regression based on the selection of relevant and non-multicollinear echographic variables allows for a high-accuracy prediction of the degree of liver fibrosis in patients with chronic hepatitis.However, the use of logistic regression models is difficult to implement in practice, and therefore we used logistic regression only in the selection of relevant and non-collinear echo features with the construction of a simple scoring model for predicting the degree of fibrosis based on the rating (sum of points) of the selected echo patterns – predictors.The performance indicators for predicting significant liver fibrosis (F2), as well as severe fibrosis (F3) and liver cirrhosis (F4) using a simple scoring model based on the sum of points of the selected ultrasound features, did not differ significantly from the corresponding indicators of the logistic regression model (Table 3).Table 3. Threshold values for discrimination of liver fibrosis stages using an ultrasound scoring model  |
| |
|
5. Conclusions
The use of logistic regression to select significant but non-multicollinear echographic features and parameters ensures high quality and reliability of the scoring model for predicting the degree of liver fibrosis in patients with chronic hepatitis. The use of this model in primary healthcare in outpatient clinics facilitates early diagnosis of fibrosis. This will ensure timely treatment and avoidance of progression to the stage of severe fibrosis and liver cirrhosis. This certainly represents a social and economic benefit in the healthcare system.
References
| [1] | Bolognesi, M. Different hemodynamic patterns of alcoholic and viral endstage cirrhosis: analysis of explanted liver weight, degree of fibrosis and splanchnic Doppler parameters / M. Bolognesi, D. Sacerdoti, C. Mescoli [et al.] // Scand. J. Gastroenterol. - 2007. - Vol. 42(2). - P. 256-262. |
| [2] | Dib, N. Non-invasive diagnosis of portal hypertension in cirrhosis. Application to the primaryprevention of varices / N. Dib, A. Konate, F. Oberti [et al.] // Gastroenterol. Clin. Biol. -2005. - Vol. 29(10). - P. 975-987. |
| [3] | Kurz, A.K. Duplexsonography of the liver: state of the art and perspectives / A.K. Kurz, H.E.Blum // Dtsch. Med. Wochenschr. - 2006. - Vol. 131 (18). - P. 1035-1039. |
| [4] | Akkarathamrongsin S. IFN-L3 (IL-28B) and IFN-L4 polymorphisms are associated with treatment response in Thai patients infected with HCV genotype 1, but not withgenotypes 3 and 6 / S. Akkarathamrongsin, V.D. Thong, S. Payungporn et al. // J. Med. Virol. – 2014. – Vol. 86, № 9. – P. 1482-1490. |
| [5] | Bosch J. Towards the non-invasive diagnosis of cirrhosis: The nuts-cirrhosis connection / J. Bosch // J. Hepatol. - 2009. - Vol. 50, N 1. - Р. 4-6. |
| [6] | Obliteration of gastric varices improves the arrival time of ultrasound contrast agents in hepatic artery and vein / Y. Furuichi, F. Moriyasu, K. Sugimoto [et al.] // J. Gastroenterol. Hepatol. - 2013. - Vol. 28, N 9. - Р. 1526-1531. |
| [7] | Now there are many (stages) where before there was one: In search of a pathophysiological classification of cirrhosis / G. Garcia-Tsao, S. Friedman, J. Iredale, M. Pinzani // Hepatology. - 2010. - Vol. 51, N 4. - P. 1445-1449. |
| [8] | Stutchfield B. M. Liver sinusoidal endothelial cells in disease - and for therapy? / B. M. Stutchfield, S. J. Forbes // J. Hepatol. -2013. - Vol. 58, N 1. - P. 178-180. |
| [9] | Abe M. Mechanisms of the immune response against HBV infection / M. Abe, M.Onji // Nihon Rinsho. - 2011. - Vol. 69 (Suppl. 4). - P. 369-373. |
| [10] | Abe M. Mechanisms of the immune response against HBV infection / M. Abe, M.Onji // Nihon Rinsho. - 2011. - Vol. 69 (Suppl. 4). - P. 369-373. |