American Journal of Fluid Dynamics
p-ISSN: 2168-4707 e-ISSN: 2168-4715
2014; 4(1): 6-15
doi:10.5923/j.ajfd.20140401.02
S. Baag1, M. R. Acharya2, G. C. Dash
1Department of Physics, College of Basic Science and Humanities, Orissa University of Agriculture and Technology, Bhubaneswar
2Department of Mathematics, Siksha ‘O’Anusandhan University, Bhubaneswar
Correspondence to: S. Baag, Department of Physics, College of Basic Science and Humanities, Orissa University of Agriculture and Technology, Bhubaneswar.
| Email: | ![]() |
Copyright © 2014 Scientific & Academic Publishing. All Rights Reserved.
The objective of the present study is to analyze the MHD flow on a stretching sheet embedded in a porous medium. The effects of magnetic field and permeability of the medium on the flow field are to be analyzed. We have considered flow of a conducting viscous fluid through porous media using Darcy model subject to a variable magnetic field. The non-linear equation of the flow field has been solved by Differential transformation empowered by Pade approximants and Runge-Kutta method with shooting technique. The results of both the methods have been compared to establish the consistency of the methods used and accuracy of the result so obtained. It is found that results obtained from both the methods do agree to a certain degree of accuracy. It is also remarked that magnetic field and permeability of the medium contribute to thinning of the boundary layer. Moreover, permeability parameter reduces the skin friction. The relative error of the two methods in computing skin friction ranges from 0.058 to 0.009(Table-2). The error decreases either for higher value of magnetic field or the power index (β). Further as regard to thinning of boundary layer, an increase in magnetic parameter from
to
, the boundary layer thickness reduces from 0.1 to 0.06 at η=1.5(Fig. 1).
Keywords: MHD flow, Stretching sheet, DTM Pade, Runge-Kutta, Porous media
Cite this paper: S. Baag, M. R. Acharya, G. C. Dash, MHD Flow Analysis Using DTM-Pade’ and Numerical Methods, American Journal of Fluid Dynamics, Vol. 4 No. 1, 2014, pp. 6-15. doi: 10.5923/j.ajfd.20140401.02.
and non linear stretching
. Many researchers have considered the strength of magnetic field as constant.The objective of the present study is two-fold. Firstly, to generalize the work of Mohammadreja et al [14]. They have considered the variable magnetic field and they have also applied two methods such as DTM Pade and Runge-Kutta method. In the present study we have added one more forcing force by allowing the flow through porous media and in the presence of a variable magnetic field. Secondly, applying DTM-Pade and Runge-Kutta methods to solve the non-linear equations in an unbounded flow domain and to compare the results of both the methods.
axis be the direction of the uniform stream and the
axis normal to the plate. A transverse magnetic field of strength
has been applied perpendicular to the plate. The Prandtl boundary layer- Darcian flow equations subject to above consideration are ![]() | (1) |
![]() | (2) |
and
are the velocity components in x and y directions respectively. The symbols
are the kinematic viscosity, density and electrical conductivity of the fluid. In equation (2), the external electric field and the polarization effects are neglected and the variable magnetic field is given by![]() | (3) |
is the variable porosity given by
The boundary conditions are given by ![]() | (4) |
is the stretching rate.The equation of continuity is satisfied if we choose a stream function
such that
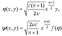
Introducing the similarity transformation ![]() | (5) |
![]() | (6) |
![]() | (7) |
is the magnetic parameter,
is the permeability parameter and
is the power index.
which is analytic in a domain T and let
represent any point in the domain T. The function
is then represented by a power series whose centre is located at
. The differential transform of the kth derivative of a function
is given by: ![]() | (8) |
![]() | (9) |
![]() | (10) |
![]() | (11) |
is negligibly small. Usually, the value of m is decided by convergence of the series coefficients. We have documented operations for differential transformed functions about the point
in Table-1 and we assume that
in the following sections.
|
is represented by a power series,![]() | (12) |
is reserved for the given set of coefficients and
is the associated function.
Pade approximant is a rational fraction,![]() | (13) |
ought to fit the power series equation (9) through the orders
. In the notation of formal power series ![]() | (14) |
![]() | (15) |
we get,![]() | (16) |
we define
for consistency. Since
equation (13) become a set of M linear equations for M unknown denominator coefficients.![]() | (17) |
may be found. The numerator coefficients
follow immediately from equation (12) by equating the coefficients of
such as,![]() | (18) |
.![]() | (19) |
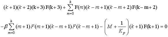
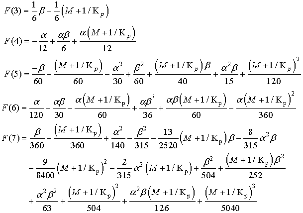
is to be determined.Taking differential transform of equation (6) by using the related definitions given in Table-1, we obtain:![]() | (20) |
![]() | (21) |
![]() | (22) |
. The closed form of the solution is![]() | (23) |
=3.0,
=100,
=0.5)![]() | (24) |
![]() | (25) |
α = -0.9748Similarly the other values of α have been determined and are enlisted in the table below.
|
|
permeability parameter
and the power index (β) as well as the consistency of the methods are discussed in the following lines.Fig.1(a) presents the graphical representation of DTM-Pade method and fig.1 (b) presents the graphical representation of numerical result due to Runge-Kutta method. Both the figures show that the velocity decreases asymptotically with the progress of the flow to reach at the ambient state and the velocity further decreases with the increase of the value of magnetic parameters. The resistive force due to magnetic field is significant in the layers, a little far away from the plate in the absence of porous medium for a fixed value of β. When magnetic parameter increases from
=1 to
=3, the ambient state reaches at about
(Fig.1a) in DTM Pade method but in case of Runge-Kutta method the ambient state reaches at about
(Fig.1b). Further, it is seen that presence of porous medium leads to a decrease from the velocity. The effect of magnetic field remains same but the attainment of ambient state becomes faster.Fig.2 (a) and (b) shows the velocity distribution for various values of β =0.5, 1.0, 5.0 representing the integer and fractional values of
. The value of β=1 correspond to
i.e. linear variation of velocity and
, constant magnetic field where as
and
correspond to n=1/3 and -5/3 respectively. This contributes to non linear variation of plate velocity as well as magnetic field strength. The negative power of
reduces the velocity at all points in comparison with n=1/3
. On careful analysis from the above observation it is remarked that variation of plate velocity contributes more than the magnetic field strength to increase the fluid velocity in the flow domain.Fig. 3 (a) and (b) represents the velocity distribution due to the presence of porous medium. It is found that velocity decreases at all points of the flow domain. The quantitative values of velocity distribution for porous medium measured at η = 1.5 for both the figures 3(a) and 3(b) reveals that for
= 0.5, the convergence is faster by 12.5% due to shooting technique and for non-porous medium it is 28% (Table-3). The result of numerical method indicates the sharp decrease in the profile (fig.3(b)). This shows that the self corrective procedure of shooting technique accelerates the convergence faster than the convergence affected by Pade approximant in DTM. In table-2 and table-3 the error analysis and comparison has been presented.Table-2 shows the values of skin friction obtained by Runge-Kutta and DTM Pade method. It is seen that magnitude of skin friction increases due to presence of porous medium and magnetic field but the power index of magnetic field affects the skin frictions adversely. Results of DTM-Pade and Runge-Kutta method agree to a certain degree of accuracy. The numerical values in both the methods are found to be negative but the accuracy is up to the first place of decimal. The relative error computed ranges from 0.005 to 0.057(Table-2).![]() | Figure 1(a). Velocity in y-direction for β=0.5 and Kp=100 |
![]() | Figure 1(b). Velocity in y-direction for β=0.5, Kp=100 |
![]() | Figure 2(a). Velocity in y-direction for M=2.0 and Kp=100 |
![]() | Figure 2(b). Velocity in y-direction for M=2.0, Kp=100 |
![]() | Figure 3(a). Velocity in y-direction for M=3, β=0.5 |
![]() | Figure 3(b). Velocity in y-direction for M=3, β=0.5 |
has been approximated by a rational fraction (13) and its approximation given in equation(14).The inclusion of more number of terms will increase the accuracy vis-à-vis increase the order of the diagonal matrix whose inversion is warranted to solve the system of equation. In the present study to avoid the complexity of calculation we have restricted
to include the term
that corresponds to [2/2] diagonal Pade. Therefore, it is suggested that if terms of higher powers of
are considered that will lead to higher order diagonal Pade and consequently better approximation and hence higher accuracy.Due to resistive force of electromagnetic origin i.e. Lorentz force, the velocity decreases. Moreover, the power index as well as permeability of the medium reduces the velocity at all points. The shearing stress over the plate is increased due to permeability of the medium and the magnetic field but reverse effect is observed due to power index of magnetic field.