American Journal of Materials Science

p-ISSN: 2162-9382    e-ISSN: 2162-8424

2015;  5(3C): 198-202

doi:10.5923/c.materials.201502.38

Formulation and Viscosity Analysis of TiO2 Nanoparticle Dispersions in Engine Oil

Binu K. G. 1, Spoorthi M. 1, Prajwal K. 1, Neil Vaz 1, Rolvin D’Silva 1, Pai R. 2

1Department of Mechanical Engineering, St Joseph Engineering College, Mangaluru, India

2Department of Mechanical and Mfg. Engineering, Manipal Institute of Technology, Manipal, India

Correspondence to: Rolvin D’Silva , Department of Mechanical Engineering, St Joseph Engineering College, Mangaluru, India.

Email:

Copyright © 2015 Scientific & Academic Publishing. All Rights Reserved.

Abstract

Stable suspensions of TiO2 nanoparticle additives in engine oil are obtained using the two-step method at concentrations ranging from 0.05 wt.% to 2.5 wt. %. The obtained nanooils are subjected to viscosity analysis using rotational rheometer at different concentrations and temperatures. The experimental results are used to develop empirical viscosity models for TiO2 dispersions at varying concentrations and temperatures. The obtained models are compared with classical models and other recently published models. The comparative results provide the theoretical framework to simulate shear viscosities of TiO2 dispersions in engine oil with respect to concentration and temperature.

Keywords: Viscosity, Rheometer, Engine oil, Nanofluids, TiO2 nanoparticles

Cite this paper: Binu K. G. , Spoorthi M. , Prajwal K. , Neil Vaz , Rolvin D’Silva , Pai R. , Formulation and Viscosity Analysis of TiO2 Nanoparticle Dispersions in Engine Oil, American Journal of Materials Science, Vol. 5 No. 3C, 2015, pp. 198-202. doi: 10.5923/c.materials.201502.38.

1. Introduction

Nanoparticles are being increasingly used in generating solutions to modern engineering problems. The processing techniques and preparation methods of nanoparticles have received tremendous research interest [1]. Nanoparticles have many remarkable properties because of their small size and very large specific surface area [2]. Researchers have applied emerging nanotechnology in traditional thermal engineering sciences for developing novel carrier fluids. Metallic or non-metallic nanoparticles are dispersed in conventional heat transfer fluids such as water, glycol, and oil to make a new class of heat transfer fluids, called nanofluids, having superior properties including high thermal conductivity, long-term stability, and homogeneity. Few studies have reported enhanced rheological behavior of nanofluids in comparison to base fluids. Some review articles [3-4] emphasize the significance of investigating the viscosity variation of nanofluids with nanoparticle concentration and fluid temperatures.
Viscosity is one of the important properties affecting the performance of carrier fluids such as coolants, lubricants, and refrigerants. From a lubricant point of view, viscosity of lubricant significantly affects the load carrying capacity of oil film. Binu et al. [5] have studied the influence of viscosity of nanoparticle dispersions in engine oil on the performance characteristics of engine oil. The dispersion of nanoparticles in base oil is reported to render the oil non-Newtonian [6]. However, this viewpoint is contested by few other reported studies. The rheological properties of nanofluids are also heavily dependent on their suspension stability. Stability of nanofluids is an area of concern being addressed by various research groups. Carrier fluids used in various applications have the inherent problem of being susceptible to viscosity reduction with temperature. This problem is quite severe with regard to lubricants, where the decrease in viscosity reduces the load carrying capacity of the oil [7]. Various additives known as viscosity index modifiers were used to reduce this temperature sensitivity of lubricant viscosity. However, these additives are largely sulphur based compounds, which have serious environment issues. These additives were also found to be chemically unstable.
The quest for green additives has resulted in the use of various inorganic and ceramic nanoparticle additives with inherent advantage of being chemically stable. Numerous studies have reported the beneficial properties of nanoparticle lubricant additives. With regard to application of nanofluids as coolants and refrigerants, the nanofluid should not only possess high thermal conductivity but also should have low viscosity. Rheological studies on nanofluids have received great impetus in recent years. Viscosity of aqueous based nanofluids has been studied by many re-searchers. An increase in viscosity of TiO2 nanoparticle dispersions in water was reported by Masuda et al. [8]. Dispersions of Al2O3 nanoparticles in water were subjected to viscosity analysis by Wang et al. [9] and report a significant increase in viscosity with concentration. Similar results were also observed by the study group with ethylene glycol base oil. Wang et al. [9] also pointed out the influence of dispersion methods on viscosity variation of nanofluids. Pak et al. [10] also reports similar observations with Al2O3 in water and TiO2 nanoparticle dispersions in water. Putra et al. [11] and Prasher et al. [12] have reported Newtonian behaviour of nanofluids at low concentrations. Developing a theoretical model for viscosity variation of nanofluids is a problem that is currently being researched. Considering the number of variables involved in the process, and the non-homogeneity of dispersions, no single viscosity model has been developed capable of simulating viscosities across different particles, concentrations, and temperatures. Temperature dependence of viscosity of nanofluids were studied by Namburu et al. [4] leading to an empirical model relating viscosity with nanoparticle concentration and temperature. Chen et al. [13] in his widely read publication on TiO2 based nanofluids have provided a modified version of classical Krieger-Dougherty model for simulating viscosity variation by taking into consideration the phenomenon of aggregation of nanoparticles. More recent models developed by Kole et al. [14 ] and Masoumi et al. [15] have also gained popularity in simulating viscosities. However, there is a large scope of work in developing theoretical understanding of aggregation phenomenon and its influence on nanofluid viscosities.
In this work, an attempt is made to develop empirical models to simulate viscosities of TiO2 nanoparticle dispersions in engine oil at different concentrations and temperatures. Using the two-step method of preparing nanofluids, TiO2 nanoparticle suspensions were obtained in engine oil. The nanooil samples thus obtained were subjected to rheological analysis using a rheometer. The results are employed to develop models to simulate viscosity variation of nanofluids with concentration and with temperature separately. The obtained models were compared with previously published models.

2. Experimental

Shear viscosity of TiO2 dispersions in engine oil were studied experimentally. The details of samples formulated and experimentation performed are mentioned in subsections 2.1 to 2.4.

2.1. Materials

TiO2 nanoparticles (mixture of rutile and anatase) with primary particle size of 100 nm (BET) was purchased from Sigma Aldrich. A locally available brand of SAE30 engine oil was used as base oil. Oleic acid was used as surfactant to promote dispersion stability.

2.2. Pre-processing and Characterization

The purchased TiO2 nanoparticles were subjected to an acid wash process illustrated by Li et al. [16] to remove the silica coating prevalent in commercially available TiO2 nanoparticles. The processed nanoparticles were subjected to morphological characterization using Transmission Electron Microscopy.

2.3. Formulation

The processed nanoparticles were dispersed in engine oil at concentrations ranging from 0.05 wt. % to 2.5 wt. %, using ultrasonication after immersion in oleic acid surfactant. A combination of indirect and direct probe sonication for duration of 2 hours was observed to provide stable dispersions. The prepared samples were observed to be stable for more than 60 days.

2.4. Rheological Studies

The prepared samples of TiO2 dispersions in engine oil were subjected to viscosity analysis using rotational rheometer at varying temperatures. For a maximum shear rate of 40 per second, the viscosities were measured at temperatures ranging from 10°C to 80°C in steps of 10°C.

3. Theoretical

Experimental viscosity readings obtained from the rheometer were analysed to develop empirical relations between viscosity and concentration, and viscosity and temperature. The empirical model corresponding to best fit curve for the data were noted. The obtained models were compared with published models.

4. Results and Discussion

The morphological characteristics of the TiO2 nanoparticles used are shown in TEM image illustrated in figure. 1.
Figure 1. TEM image of purchases TiO2 nanoparticles
As seen in figure 1, dry nanoparticles are in an aggregated state with an average aggregate size of ~500 nm. Figure 2 shows sample dispersions of TiO2 nanoparticles in engine oil. Sample-1 shows stable dispersion and sample-2 shows sedimentation after 60 days of static storage. In a separate study, the authors have studied the stability of TiO2 nanoparticle dispersion in engine oil, resulting in optimization of type of surfactant, quantity of surfactant, and duration of ultrasonication for maximum stability. It was understood from the study, that stability is highly influenced by the choice of base oil, surfactant, and sonication mode and duration. As confirmed by Li et al. [16], Oleic acid and Oleylamine surfactants provide stable dispersions for TiO2 nanoparticles. In this study, oleic acid was used as surfactant.
Figure 2. Sample dispersions of TiO2 nanoparticle dispersions in engine oil
Figure 3 shows the experimental viscosities obtained using a rheometer for varying concentrations of TiO2 nanoparticles. The concentrations are expressed in volume fractions corresponding to percent weights ranging from 0.05 wt. % to 2.5 wt. %. As observed in figure 3, the viscosity of base oil is found to increase with concentration of nanoparticles. This is in line with observations made by many past studies [15-17]. Many theoretical models, beginning with the Einstein model [18] of particle suspensions, have attempted to simulate viscosity variation of particle suspensions in base fluid with particle concentrations. Figure 4 provides a comparison of relative viscosities measured experimentally with relative viscosities obtained with classical viscosity models.
Figure 3. Experimental shear viscosities obtained from rheometer for varying concentrations
As observed from figure 4, classical viscosity models were found to severely underpredict the viscosities of nanofluids. The empirical model for experimental viscosities as obtained using a linear trend line for the variation shown in figure 3 is written as:
(1)
with R² = 0.9278. The above equation provides the viscosities for nanofluids with varying concentrations expressed in volume fractions.
Figure 4. Comparison of experimental relative viscosities with simulated relative viscosities using classical models
The variation of viscosities of nanofluids at concentrations of 0.5 wt. %, 1 wt. %, 1.5 wt. %, and 2.0 wt. % were measured at temperatures ranging from 10°C to 80°C in steps of 10°C. Figure 5 presents the variation of viscosity of plain engine oil (without nanoparticle additives) with temperature. The experimental viscosities are also compared with simulated viscosities obtained using the viscosity model pro-posed by Kulkarni et al. [19]. Figure 5 also shows viscosity variation simulated using models obtained using curve-fit method.
Figure 5. Comparison of shear viscosity variation with temperature obtained experimentally with simulated results
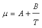
Figure 5 provides a comparison of relative viscosities measured experimentally with relative viscosities obtained with classical viscosity models. As observed in figure 5, experimental viscosities decreases with temperature and the variation shows significant deviation from viscosities simulated using model provided by Kulkarni et al. [19]. The best model in close agreement with experimental results obtained using curve-fit method is written as:
(2)
The variation in viscosities of nanofluids with temperature for concentrations of 0.5 wt. %, 1 wt. %, 1.5 wt. %, and 2.0 wt. % are illustrated in figures 6 – 9. From figures 6 – 9, it is observed that, the viscosity model provided in equation (2) is found to simulate viscosity variation with temperature which is in close agreement with experimental readings.
Figure 6. Comparison of shear viscosity variation with temperature obtained experimentally with simulated results for 0.5 wt. % nanooil
Figure 7. Comparison of shear viscosity variation with temperature obtained experimentally with simulated results for 1 wt. % nanooil
Figure 8. Comparison of shear viscosity variation with temperature obtained experimentally with simulated results for 1.5 wt. % nanooil
Figure 9. Comparison of shear viscosity variation with temperature obtained experimentally with simulated results for 2 wt. % nanooil
The constants A and B of the proposed empirical model (2) are calculated through curve-fitting approach. The computed value for various concentrations of TiO2 dispersions is presented in table 1.
Table 1. Constants of the proposed empirical model for plain engine oil and nanooils
     

5. Conclusions

Theoretical models to simulate viscosity variation of TiO2 dispersions in engine oil with TiO2 concentration and temperature is developed. The empirical models developed using curve-fit method was found to simulate viscosity variation in close agreement with experimental results. These models could be employed to perform theoretical analysis on various applications of TiO2 nanofluids, such as, nanoparticle dispersed lubricants, coolants, and other carrier fluids.

References

[1]  S. Lee, U.S. Choi, and S. Li, 1999, Measuring thermal conductivity of fluids containing oxide nanoparticles, Journal of Heat Transfer, 121(2), 280-289.
[2]  S.U.S. Choi, 1995, Enhancing thermal conductivity of fluid with nanoparticles. in: D.A. Siginer, H.P. Wang (Eds.), Developments and Applications of Non-Newtonian Flows. ASME FED-231, New York,. 99-105.
[3]  S.K. Das, S.U.S. Choi, and H.E. Patel, 2006, Heat transfer in nanofluids: A review, Heat Transfer Engineering, 27, 3-19.
[4]  P.K. Namburu, D.P. Kulkarni, D. Misra, and D.K. Das, 2007, Viscosity of copper oxide nanoparticles dispersed in ethylene glycol and water mixture, Experimental Thermal and Fluid Science, 32, 397-402.
[5]  K.G. Binu, B.S. Shenoy, Rao D.S., and R. Pai, 2014, Static characteristics of a fluid film bearing with TiO2 based nanolubricant using the modified Krieger–Dougherty viscosity model and couple stress model, Tribology International, 75, 69-79.
[6]  K. Kwak, and C. Kim, 2005, Viscosity and thermal conductivity of copper oxide nanofluid dispersed in ethylene glycol, Korea-Australia Rheology Journal, 17, 35-40.
[7]  Y. Hwang, H.S. Park, J.K. Lee, W.H. Jung, 2006, Thermal conductivity and lubrication characteristics of nanofluids, Current Applied Physics, 6 (S1), 67-71.
[8]  Masuda H, Ebata A, Teramae K and Hishinuma N, 1993, Alteration of thermal conductivity and viscosity of liquid by dispersing ultra-fine particles (dispersions of c-Al2O3, SiO2, and TiO2 ultra-fine particles), Netsu Bussei (Japan) 4, 227.
[9]  Wang X, Xu X, and Choi S. U. S., 1999, Thermal conductivity of nanoparticle–fluid mixture, Journal of Thermophysics and Heat Transfer, 13(4), 474-481.
[10]  Pak B.C. and Cho Y. I., 1998, Hydrodynamic and heat transfer study of dispersed fluids with submicron metallic oxide particles, Experimental Heat Transfer, 11, 151-170.
[11]  Putra N., Roetzel W., and Das S.K., 2003, Natural convection of nanofluids, Heat and Mass Transfer, 39(8-9), 775-784.
[12]  Prasher R., Song D., Wang J., and Phelan P. E., 2006, Measurements of nanofluid viscosity and its implications for thermal applications, Applied Physics Letters, 89, 133108.
[13]  Chen H., Ding Y., He Y., and Tan Ch., 2007, Rheological behavior of ethylene glycol based titania nanofluids Chemical Physics Letters, 444(4-6), 333-337.
[14]  M. Kole, and T.K. Dey, 2010, Thermal conductivity and viscosity of Al2O3 nanofluid based on car engine coolant, Journal of Physics D: Applied Physics, 43, 315501-315510.
[15]  N. Masoumi, N. Sohrabi, and A Behzadmehr, 2009, A new model for calculating the effective viscosity of nanofluids, Journal of Physics D: Applied Physics, 42, 055501.
[16]  S Lee, Choi S U S, Li S, and Eastman J A, 1999, Measuring thermal conductivity of fluids containing oxide nanoparticles Journal of Heat Transfer: ASME DC, 121, 280.
[17]  W. Duangthongsuk, S. Wongwises, 2009, Measurement of temperature dependent thermal conductivity and viscosity of TiO2–water nanofluids, Experimental Thermal and Fluid Science, 33, 706–714..
[18]  A. Einstein, 1956, Investigations on the theory of the Brownian movement, Dover Publications Inc., New York.
[19]  D.P. Kulkarni, D.K. Das and G.A. Chukwu, 2006, Temperature dependent rheological property of copper oxide nanoparticles suspension, Journal of Nanoscience and Nanotechnology, 6, 1150–1154.